Неопределенности и их раскрытие
Различают несколько видов неопределенностей:
,
,
,
,
,
и др.
1.
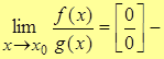
. Пусть f(x0)=0 и g(x0)=0, тогда говорят, что
неопределенность вида ноль на ноль.
а) Если числитель и знаменатель имеют одинаковые сомножители, то их можно сократить, устранив неопределенность.
Ex.1. 
б) Если содержатся тригонометрические функции, то обычно применяют 1-й замечательный предел.
Ex.2. 
в) Если содержатся радикалы, то числитель и знаменатель умножают на «сопряженный» множитель, учитывая, что
и др.
Ex.3. 

2.
. Неопределенность раскрывается делением числителя и знаменателя на алгебраическое слагаемое в максимальной степени.
3.
. Неопределенность раскрывается применением 2-го замечательного предела.
4.
. Неопределенность раскрывается приведением функций к общему знаменателю, т.е. виду
или
.
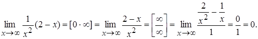
5.
. Неопределенность приводится к виду
или
.
Ex. 4. 
6.
. Неопределенность раскрывается предварительным логарифмированием.
Дата добавления: 2015-08-20; просмотров: 704;
