Первый замечательный предел. Def. Первым замечательным пределом называют .
| Def. | Первым замечательным пределом называют
.
|
Proоf:
Рассмотрим окружность радиуса R.

Пусть x – центральный угол (рад.)
Пусть
площадь треугольника OAB.
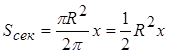
Пусть
площадь сектора OAB.
Пусть
площадь прямоугольного треугольника OCB.
Очевидно, что 
.
.
Т.к.
, то
или (сокращая на
), получим
.
Пусть
, тогда

или

.
По теореме о сжатой переменной (правилу 2-х милиционеров)
, ч.т.д.
| Note | В силу четности функции cos x и первый замечательный предел справедлив и для x<0.
|
Дата добавления: 2015-08-20; просмотров: 719;

первый замечательный предел справедлив и для x<0.