Эквивалентные б. м. в.
| Def. 1 | Б.м.в. и называют эквивалентными, если .
|
Обозначение:
.
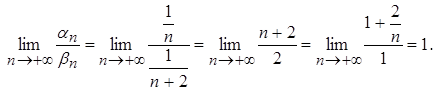
Ex.1.Пусть
, тогда
или
, т.к.

Б. м. в. одного порядка малости
| Def. 2 | Б.м.в. и называют одного порядка малости, если .
|
Обозначение:
или
.
Читается:
есть «О-большое» от
.
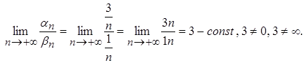
Ex.2.Пусть
, тогда
или
;
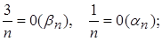
т.к.

Дата добавления: 2015-08-20; просмотров: 813;

.
.