Функция натурального аргумента
| Def. | Пусть каждому натуральному числу по какому-то закону поставлено в соответствие число , то говорят, что задана функция натурального аргумента (переменная величина, числовая последовательность, …).
|
Обозначение:
,
,
,
, …
| n: | 1, | 2, | 3, | 4, | …, | n, | … |
| ↓ | ↓ | ↓ | ↓ | ↓ | |||
:
| ,
| ,
| ,
| ,
| …, | ,
| … |
Мы будем применять первое обозначение, т.е.
.
.
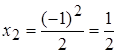
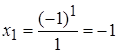
| Ex. 1. | Пусть задан закон (задана числовая последовательность) тогда
– первыйчлен последовательности;
– второйчлен последовательности;
– третийчлен последовательности;
…
– n-й член последовательности (общий член последовательности).
…
|
Изображение. Члены последовательности изображают точками на плоскости (1-й способ) или точками на числовой прямой (2-й способ).
Пусть задана числовая последовательность
.
1-й способ

2-й способ
Мы будем применять 2-й способ изображения.
Дата добавления: 2015-08-20; просмотров: 1242;

по какому-то закону поставлено в соответствие число
, то говорят, что задана функция натурального аргумента (переменная величина, числовая последовательность, …).
,
,
,
,
– первыйчлен последовательности;
– второйчлен последовательности;
– третийчлен последовательности;
…