Условие параллельности и перпендикулярности прямой и плоскости
Пусть прямая L задана направляющим вектором
.
Пусть вектор нормали
к плоскости P имеет координаты 
Тогда:
, если
, т.е.
,
, если
, т.е.;
.
| Note 2 | Дома или на п/з получить уравнение прямой, проходящей через две точки и .
|
| Note 3 | Дома или на п/з получить общее уравнение прямой (как линию пересечения двух плоскостей)
|
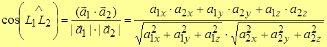
| Note 4 | Дома или на п/з получить формулу для расчета косинуса угла между двумя прямыми L1 и L2 , где и – направляющие векторы.
.
|
| Note 5 | Дома или на п/з получить формулу для расчета синуса угла между прямой L и плоскостью P.
.
|
Дата добавления: 2015-08-20; просмотров: 681;

и
.
и
– направляющие векторы.
.
.