Прямая. Каноническое, параметрическое и общее уравнение прямой
Пусть в трехмерном пространстве с д.п.с.к. XYZ задана прямая L.
Пусть т.
– фиксированная точка L;
т.
– «текущая» точка L.
Пусть вектор
. Вектор
называют направляющим для прямой L. Пусть заданы координаты направляющего вектора, причем,
.
Рассмотрим вектор
.
Так как по условию
, то
.
Условие параллельности двух векторов:
– каноническое уравнение прямой.

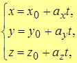
| Note 1 | Дома или на п/з (исходя из того, что вектор можно представить в виде , где t – параметр) получить параметрическое уравнение прямой L:
где
|
Дата добавления: 2015-08-20; просмотров: 782;

можно представить в виде
, где t – параметр) получить параметрическое уравнение прямой L:
где