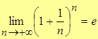
Второй замечательный предел. Натуральные логарифмы
| Def. | Вторым замечательным пределом называют
,
где e ≈ 2,718281828459045…– иррациональноечисло.
|
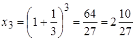
Рассмотрим числовую последовательность
.
Очевидно, что 
;
;
……………………………
Т.к.
, то
последовательность монотонно возрастает. Можно доказать, что она ограничена сверху, например, числом 3. Тогда по теореме о монотонно возрастающей последовательности, ограниченной сверху, эта последовательность имеет конечный предел, т.е.
.
Дата добавления: 2015-08-20; просмотров: 1145;

,
где e ≈ 2,718281828459045…– иррациональноечисло.