Тема: Вычисление площадей плоских фигур. Вычисление объемов тел.
8.1. Вычисление площадей плоских фигур.
8.1.1. Вычисление площади фигуры в декартовой системе координат.

Пусть на плоскости задана ограниченная область D.
Область D проецируется на ось ОХ в отрезок
. Будем предполагать, что любая прямая
, пересекает границу области D в двух точках. Прямые
и
могут иметь с границей области общие отрезки.
В данном случае можно записать уравнение кривой, ограничивающей область D снизу
и уравнение кривой, ограничивающей область D сверху
.
Отрезок [a,b] произвольным способом разобьем на n частей точками
. Это разбиение обозначим через Т. Через
обозначим наибольшую из длин частей разбиения. Пусть
, тогда
.
В каждой из частей разбиения произвольным способом выберем по точке
.
Прямые
разобьют область D на n частей. К-тую часть разбиения заменим прямоугольником с основанием
и высотой
.
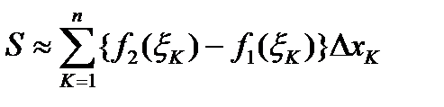
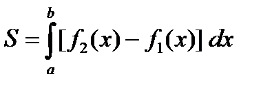
Площадь S фигуры D приближенно равна
.
Определение. Площадью S области D называется
, если предел существует. Если данный предел не существует, то область D площади не имеет. Если область D имеет площадь, то она называется квадрируемой.
В определении площади области D сумма, стоящая под знаком предела является интегральной суммой для функции
, поэтому
и
.
Если
и
непрерывные функции на отрезке
, то по теореме существования определенного интеграла можно утверждать, что область D имеет площадь, т.е. область D квадратируема.
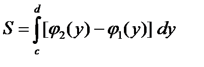
Замечание 1. Область D можно проецировать на ось OY на отрезок
и тогда
, где кривая
ограничивает область D снизу, а кривая
ограничивает область D сверху.
Замечание 2. Если область D такова, что сразу нельзя по предыдущим формулам вычислить площадь в области D, то область D надо разбить на конечное число частей, не имеющих общих внутренних точек, так что можно вычислить площадь каждой из частей. Тогда площадь в области D вычислится как сумма площадей частей разбиения.
Пример. Вычислить площадь фигуры, ограниченной линиями
.

Область D проецируется на ось OX в отрезок [0,3]. Сверху область D ограничена линией 
Снизу область D ограничена линией
. По формуле находим: 
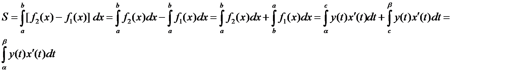
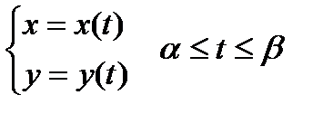
8.1.2. Вычисление площади фигуры, граница которой задана параметрически.


Пусть область D проецируется на ось OX в отрезок [a,b] и
. Функция x=x(t) на промежутках
и
монотонна и имеет непрерывную производную.
В частности, если требуется вычислить площадь криволинейной трапеции, причем уравнение верхней кривой
, задано параметрически
, где x(t) монотонная функция имеет непрерывную производную на
,
, то где
.

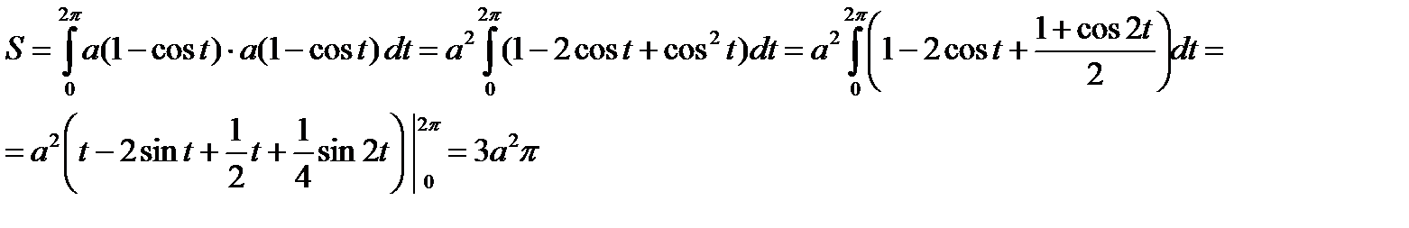
Пример. Вычислить площадь фигуры, ограниченной осью ОХ и одной аркой циклоиды



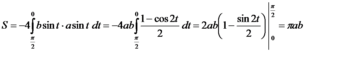
Пример. Вычислить площадь фигуры, ограниченной эллипсом
. Запишем уравнение эллипса в параметрическом виде: x=acost, y=bsint, 
.
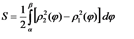
8.1.3. Вычисление площади фигуры в полярной системе координат.
Вычислим теперь площадь области D в полярной системе координат.
Пусть область D ограничена лучами
и
. Будем предполагать, что любой луч
,
, пересекает границу области D в двух точках. В этом случае область D будет ограничена двумя линиями
,
и лучами
.

Угол между лучами
и
разобьем произвольным способом на n частей лучами
.
Это разбиение обозначим через (Т),
, где
.
В каждом частичном угле выберем произвольным способом луч
.
К-тому углу поставим в соответствие два круговых сектора с радиусами
и
.
Площадь области D приближенно равна
.
Естественно за S принять предел таких сумм при
.

Выражение, стоящее под знаком предела, является интегральной суммой для функции
.
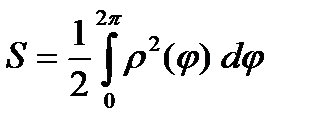
Следовательно,
.
Рассмотрим два частных случая.
1) Пусть полюс 0 лежит на границе области D. В этом случае
, а
.


2) Пусть полюс 0 лежит внутри области D


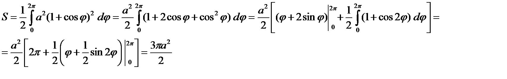
Пример. Вычислить площадь фигуры, ограниченной кардиоидой 


8.2. Вычисление объемов тел.
Общее определение объема тела связано с изучением двойного интеграла и будет изложено в III семестре. Сейчас мы рассмотрим некоторые частные случаи.
8.2.1. Вычисление объемов тел по площадям параллельных сечений.
Пусть в пространстве дано ограниченное тело, границей которого является замкнутая поверхность.
Данная область проецируется на ось ОХ в отрезок
. Будем предполагать, что
известна площадь
сечения данного тела плоскостью
.

Отрезок
произвольным способом разобьем на n частей точками
. Пусть
,
.
Плоскости
разобьют данное тело на n частей.
В каждом из отрезков разбиения
произвольным способом выберем по точке
.
Объем К-той части разбиения данного тела приближенно равен
, а объем всего тела приближенно равен
.
За объем тела принимают предел сумм
при
, т.е.
.
Сумма, стоящая под знаком предела, является интегральной суммой для функции s(x), поэтому
.
Отметим, что мы дали определение объема тела и указали способ его вычисления.
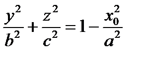
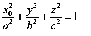
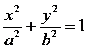
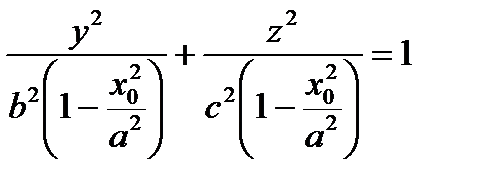
Пример. Вычислить объем тела, ограниченного эллипсоидом
.

Данный эллипсоид проецируется на ось OX в отрезок
.
плоскость
пересекает тело по области, границей которой является эллипс
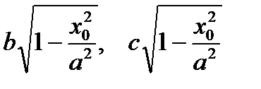
. Найдем полуоси этого эллипса
;
.
Следовательно, полуосями эллипса являются 
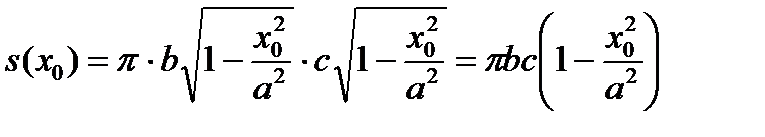
Поэтому, площадь сечения
равна
.
Объем тела вычисляется по формуле
.
Если a=b=c, то тело, ограниченное эллипсоидом, является шаром.
, где a – радиус шара.
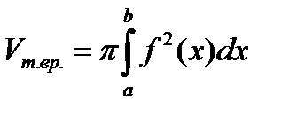
8.2.2. Вычисление объемов тел вращения.
Пусть тело является телом вращения криволинейной трапеции вокруг оси OX.

В этом случае
и
.
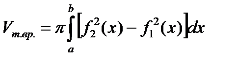
Пусть теперь тело является телом вращения фигуры D, которая не пересекает оси OX, причем любая прямая, параллельная оси OY пересекает границу D не более чем в двух точках.

.
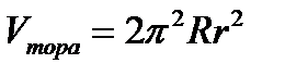
Пример. Вычислить объем тела вращения круга
,
, вокруг оси OX.
Такое тело называется тором.

Фигура D ограничена сверху полуокружностью
, а снизу полуокружностью
. Поэтому

Последний интеграл есть площадь половины круга радиуса r. Поэтому
.
Дата добавления: 2015-08-21; просмотров: 2440;
