Тема: Интегрирование четных и нечетных функций. Несобственные интегралы.
7.1. Интегрирование четных и нечетных функций.
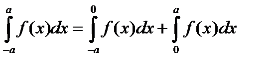
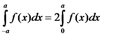
Пусть
- четная функция на отрезке
, т.е.
. Рассмотрим интеграл

В интеграле
сделаем замену переменной
.

В результате получим

Пусть
нечетная функция на отрезке
, т.е.
.
Как и в предыдущем случае в интеграле
сделаем замену
. В результате получим:
.
.
7.2. Несобственные интегралы.
До сих пор мы рассматривали интегралы
, для которых отрезок
конечен и функция
ограничена на отрезке
. При этом
.
На практике часто встречаются случаи, когда
задана на бесконечном промежутке и непрерывна на нем либо
задана на конечном отрезке
, но неограниченна на нем. Если промежуток
бесконечен, то при любом разбиении его на конечное число частей один из промежутков будет бесконечным, сумма
равна
, а
не существует. Если же
определена на конечном отрезке
, но неограниченна, то всегда существует отрезок разбиения
, на котором
неограниченна и на этом отрезке можно выбрать точку
так, что
, где М наперед заданное число и в этом случае
не существует.
Если
задана на бесконечном промежутке и непрерывна на нем либо
задана на конечном промежутке и неограниченна на нем, то интегралы от таких функций определяются с помощью предельного перехода и эти интегралы называются несобственными.
7.2.1. Несобственные интегралы от непрерывных функций по бесконечному промежутку.
Пусть
задана и непрерывна на промежутке
.
Рассмотрим интеграл
, этот интеграл существует
, т.к.
непрерывна на отрезке
.
Положим по определению
. (1)
Интеграл
называется несобственным интегралом. Если предел в равенстве (1) существует, то говорят, что несобственный интеграл сходится. Если предел в равенстве (1) не существует, то говорят, что несобственный интеграл расходится.
Пусть теперь функция
задана и непрерывна на промежутке
.
Несобственный интеграл
определяется аналогично:

Далее, пусть функция
задана и непрерывна на всей числовой оси
.
Несобственный интеграл
определяется следующим образом:
,
при условии, что оба интеграла справа сходятся.
Заметим, что вместо 0 можно взять любое конечное число а и при этом сходимость несобственного интеграла
и его значение не изменится.
Геометрический смысл несобственного интеграла.
Если
непрерывна и положительна в промежутке
, то несобственный интеграл
есть площадь бесконечной криволинейной трапеции, ограниченной осью ОХ, прямой
и графиком функции
. Если несобственный интеграл
сходится, то соответствующая криволинейная трапеция имеет площадь равную несобственному интегралу
. Если же несобственный интеграл расходится, то криволинейная трапеция площади не имеет.

Механический смысл несобственного интеграла.
Если
непрерывна и неотрицательна на промежутке
, то
есть масса стержня
с плотностью
.
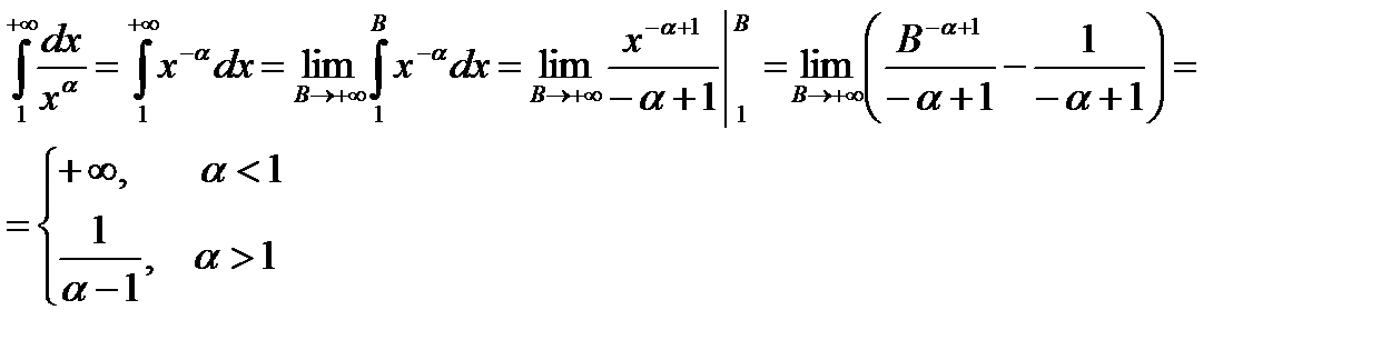
Пример. Вычислить 
1) Пусть
, тогда 
2)
;
.
Следовательно, при
несобственный интеграл
расходится, а при
сходится.
Пример. Вычислить интеграл
.
.
Пример. Вычислить 

7.2.2. Несобственные интегралы от функций, заданных на конечном отрезке
, но неограниченных на этом отрезке.
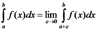
Пусть функция
непрерывна в промежутке
и неограниченна на этом промежутке.
Рассмотрим произвольное
.
Интеграл
существует, т.к.
непрерывна на отрезке
.
Несобственный интеграл
определяется следующим равенством
.
Если
непрерывна в промежутке
и неограниченна на нем, то несобственный интеграл
определяется аналогично предыдущему интегралу:
, где
;
.
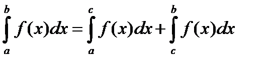
Пусть теперь
непрерывна на множестве
и неограниченна на этом множестве.
Несобственный интеграл
определяется следующим равенством:
, если оба интеграла справа существуют.
Далее рассмотрим случай, когда
непрерывна в интервале
и неограниченна на этом интервале.
Несобственный интеграл
определяется равенством:
, где a<c<b, при этом оба интеграла в правой части должны существовать, т.е. должны сходиться.
Можно показать, что сходимость интеграла
и его значение не зависят от выбора точки с.
Пример. Вычислить интеграл
.
1)

2)
.
Таким образом, несобственный интеграл
, сходится, а при
расходится.
С геометрической точки зрения несобственный интеграл
равен площади криволинейной трапеции, ограниченной осью OX, осью OY, прямой
и графиком функции
при
.

7.2.3. Признаки сходимости несобственных интегралов.
В данном пункте под несобственным интегралом
мы будем понимать какой-либо из ранее рассмотренных несобственных интегралов. В частности, a и b могут равняться
.
Теорема 1. Если в рассматриваемом промежутке выполняются неравенства
, то из сходимости несобственного интеграла
следует сходимость несобственного интеграла
, а из расходимости интеграла
следует расходимость интеграла
. (Без док-ва).
Определение. Несобственный интеграл
называется абсолютно сходящимся, если сходится интеграл
.
Теорема 2. Если несобственный интеграл
сходится абсолютно, то он сходится. (Без док-ва).
Пример. Исследовать на сходимость интеграл
.

- сходится (см. п. 7.1.1.). По теореме 1 сходится интеграл
. Это означает, что данный интеграл сходится абсолютно. Следовательно, по теореме 2 данный интеграл сходится.
Отметим, что данные рассуждения не позволяют найти точное значение интеграла
.
Дата добавления: 2015-08-21; просмотров: 3748;
