Тема: Интегрирование некоторых иррациональных выражений. Примеры интегралов, не выражающихся в элементарных функциях.
4.1. Вычисление интегралов вида:
, где
,
символ рациональности функции.
натуральные числа.
Пусть
наименьшее общее кратное.
В данном интеграле сделаем замену
, тогда
, где
целое положительное число для любого
,
.
Далее имеем:

и 
Сделав подстановку, получим:

Таким образом, вычисление данного интеграла с помощью указанной замены сводится к вычислению интеграла от рациональной функции.
Пример. Вычислить интеграл
.
В данном интеграле сделаем замену: 
В результате замены получим:

Неправильную рациональную дробь
представим в виде суммы многочлена и правильной рациональной дроби, для этого поделим числитель на знаменатель:

Таким образом, имеем:

4.2. Вычисление интегралов вида:

Выражение
означает следующее: если
, то
есть рациональная функция от
.
Интегрирование данных выражений можно осуществить различными способами.
4.2.1. Интеграл
после выделения полного квадрата под знаком квадратного корня и замены
сводится к интегралу одного из следующего типов:
а) 
б) 
в) 
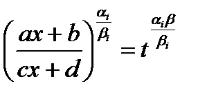
В свою очередь, последние три интеграла соответствующей подстановкой



сводятся к интегралу вида:

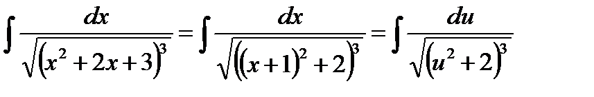
Пример. Вычислить: 
Выделяя полный квадрат в квадратном трехчлене x
+2x+3, получим:
, где
, 
Делая подстановку
, получим:

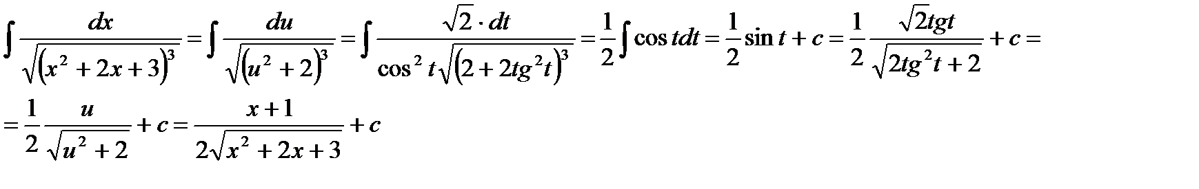
Пример. Вычислить: 
Делая подстановку
,
,
,
получим:


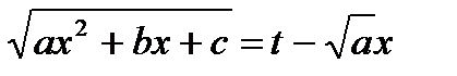
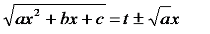
4.2.2. Подстановка Эйлера.
Интеграл
,
, может быть сведен к вычислению интеграла от рациональной функции с помощью подстановки
, которая носит имя Эйлера, впервые применившего эту подстановку.
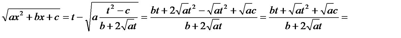
Пусть для определенности:

Возведем обе части последнего равенства в квадрат, в результате получим:

;
;


.
Используя данную подстановку, будем иметь:
,
т.к. рациональная функция от рациональной функции есть рациональная функция и произведение двух рациональных функций есть рациональная функция.
Пример. Вычислить: 
При вычислении данного интеграла используем подстановку Эйлера, т.к. коэффициент при x
больше 0.
;
;
;
;
;
.
Осуществляя подстановку, получим:

Пример. Вычислить:
Применим снова подстановку Эйлера:
, 
(см. пример 25)
Далее имеем:

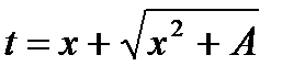
4.3. Примеры интегралов, не выражающихся в элементарных функциях:
.
Дата добавления: 2015-08-21; просмотров: 1905;
