Тема: Задачи, приводящие к понятию определенного интеграла. Определение определенного интеграла, его свойства. Теорема существования определенного интеграла.
5.1 Задачи, приводящие к понятию определенного интеграла.
Задача 1. Вычислить площадь криволинейной трапеции.
Во-первых, мы должны дать определение криволинейной трапеции.
Во-вторых, должны дать определение площади криволинейной трапеции.
В-третьих, должны указать способ вычисления площади криволинейной трапеции.
Определение. Криволинейной трапецией называется фигура, ограниченная прямой l, двумя прямыми, перпендикулярными прямой l и непрерывной кривой, которая расположена по одну сторону от прямой l и любой прямой, перпендикулярной l, пересекается не более чем в одной точке.
Если прямую l взять за ось OX; OY
OX, тогда определение криволинейной трапеции можно дать следующим образом.
Определение. Криволинейной трапецией называется фигура, ограниченная осью OX, прямыми x=a; x=b и графиком непрерывной функции
,
.

Далее, определение площади криволинейной трапеции и способ вычисления этой площади дадим одновременно.
При решении этих задач мы будем пользоваться следующими известными фактами:
1) Площадь фигуры есть неотрицательное число.
2) Если фигуру разбить на конечное число частей, то площадь всей фигуры равна сумме площадей ее частей.
3) Площадь прямоугольника равна произведению основания на высоту.
Криволинейную трапецию будем рассматривать в декартовой системе координат.
Отрезок
произвольным способом разобьем на n частей точками:
. Это разбиение обозначим через (T),
. Через
обозначим наибольшую из длин
,
.
Далее, в каждом из отрезков разбиения произвольным способом выберем по точке
.
Прямые
, разобьют нашу криволинейную трапецию на n элементарных криволинейных трапеций. K- тую элементарную трапецию заменим прямоугольником с основанием
и высотой
.
Тогда вся криволинейная трапеция заменится ступенчатой фигурой, состоящей из n прямоугольников, и площадь криволинейной трапеции будет приближенно равна площади ступенчатой фигуры.
Следовательно,
, где
- площадь K- того прямоугольника.
Символ
(греческая буква «сигма») обозначает сумму, т.е.
.
Площадью криволинейной трапеции называют предел сумм
при
, т.е.
.
Тем самым мы одновременно дали определение площади криволинейной трапеции и указали способ ее вычисления.
Задача 2. Найти массу неоднородного стержня
с плотностью
.
При решении этой задачи мы будем пользоваться следующими известными фактами:
1) Если плотность отрезка
постоянна и равна
, то масса отрезка
.
2) Если отрезок
разбить на конечное число частей, то масса отрезка равна сумме масс его частей.
Теперь мы дадим определение массы неоднородного стержня
неоднородной плотности и укажем способ ее вычисления.
Отрезок
произвольным способом разобьем на n частей точками
.
Это разбиение обозначим (T),
,
.
В каждом из отрезков разбиения произвольным способом выберем по точке
.
Масса К-того отрезка разбиения приближенно равна
, а масса всего стержня
приближенно равна
.
За массу стержня
принимают предел сумм
при
, т.е.
.
Таким образом, дано определение массы неоднородного стержня и указан способ ее вычисления.
Заметим, что многие другие задачи сводятся к вычислению пределов аналогичных сумм.
Отметим, если в задаче 1 и задаче 2 отвлечься от геометрического и механического смысла задач, то эти задачи решаются одним и тем же методом, т.е. решение задач сводится к нахождению пределов
.
5.2. Определение определенного интеграла.
Пусть
– произвольная функция, заданная на отрезке
.
Отрезок
произвольным способом разобьем на n частей точками:
.
Это разбиение обозначим через (T),
.
.
В каждом из участков разбиения произвольным способом выберем по точке
,
.
Составим сумму
, которая называется интегральной суммой.
Заметим, что интегральная сумма зависит как от разбиения (T), так и от выбора точек
.
Определение. Конечный предел интегральных сумм при
называется определенным интегралом от функции
на отрезке [a,b].
Определенный интеграл обозначается следующим образом:
.
называется подынтегральной функцией,
подынтегральным выражением,
– пределы интегрирования, а – нижний, b – верхний предел интегрирования.
Определение определенного интеграла можно записать в следующем виде:
,
если последний предел существует.
Геометрический смысл определенного интеграла.
Если подынтегральная функция
непрерывна и неотрицательна на отрезке
, то
есть площадь соответствующей криволинейной трапеции.
Механический смысл определенного интеграла.
Если подынтегральная функция непрерывна и неотрицательна на
, то
есть масса неоднородного стержня
с плотностью
.
5.3. Теорема существования определенного интеграла.
Если
непрерывна на отрезке
, то
существует.
5.4. Свойства определенного интеграла.
1) 
2) 
3) Постоянный множитель можно выносить за знак интеграла.
, с=const.
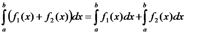
4) 
5) 
6) 
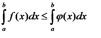
7) Если
знакопостоянна на
, то
имеет тот же знак, что и
.
8) Если
,
, то
.
9) Теорема об оценке интеграла.
, где m и M – соответственно наименьшее и наибольшее значения
на
.
Замечание: свойства 2, 3, 4, 5, 7, 8, 9 справедливы, если соответствующие интегралы существуют.
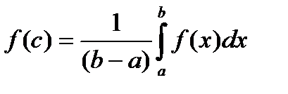
10) Теорема о среднем.
Если
непрерывна на
, то существует точка
, для которой справедливо равенство
.
Доказательство.
Так как
непрерывна на отрезке
, то она на этом отрезке достигает свои наименьшее и наибольшее значения и принимает все промежуточные значения между наименьшим и наибольшим значениями.
, тогда по теореме об оценке интеграла имеем:
, т.к. по условию
и
существует.
В последних неравенствах все части неравенств поделим на (b-a), в результате получим:
.
Т.к.
принимает все промежуточные значения между m и M, то
, в которой
. Теорема доказана.
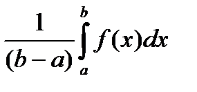
Выражение
называется средним значением функции
на
.
Дата добавления: 2015-08-21; просмотров: 2205;
