Тема: Интеграл с переменным верхним пределом. Формула Ньютона-Лейбница. Интегрирование по частям и заменой переменной в определенном интеграле.
6.1. Интеграл с переменным верхним пределом.
Пусть
непрерывная функция на отрезке
. Рассмотрим интеграл
, где верхний предел
. Верхний предел x и x под знаком интеграла разные и имеют разный смысл. Верхний предел x является произвольной фиксированной точкой отрезка
, а x под знаком интеграла является переменной, которая изменяется от a до верхнего предела x. Интеграл
называется интегралом с переменным верхним пределом, т.к. верхний предел x может принимать любое значение из отрезка
. По условию
непрерывна на любом отрезке
,
, то по теореме существования интеграл
существует для любого
, поэтому
является функцией от x.
Далее покажем, что функция
является дифференцируемой функцией.
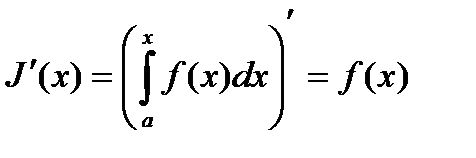
Теорема. Если
непрерывна на отрезке
, то производная от интеграла с переменным верхним пределом равна подынтегральной функции, т.е.
является первообразной для подынтегральной функции на
,
Доказательство.
По определению производной 

где с расположено между
и
.
Последнее равенство имеет место в силу теоремы о среднем. Подставляя вместо
полученное выражение, будем иметь
.
Точка с расположена между
и
, поэтому
при
. Так как
непрерывна в точке x, то
. ▼
6.2. Формула Ньютона-Лейбница.
Теорема. Справедлива формула
, где Ф(x) какая-либо первообразная для подынтегральной функции
.
Доказательство.
Рассмотрим интеграл с переменным верхним пределом
. Этот интеграл является первообразной для функции
. Пусть
– произвольная другая первообразная для
. Две различные первообразные для функции
различаются на константу. Поэтому
. Положим верхний предел
, тогда получим:
, отсюда
,
. В последнем интеграле вместо верхнего предела x подставим
, тогда получим:
. ▼
Пример. Вычислить 

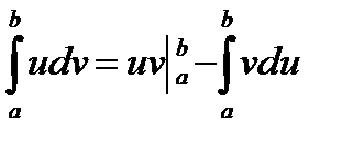
6.3. Интегрирование по частям в определенном интеграле.
Теорема. Справедлива формула
.
Доказательство. Имеем:
.
Почленно проинтегрируем последнее равенство


. ▼
Пример. Вычислить 



.
Пример. Вычислить 

; 
; 
К последнему интегралу применим еще раз формулу интегрирование по частям.

; 
; 

Пример. Вычислить 

; 
; 

6.4. Замена переменной в определенном интеграле.
Пусть
непрерывна на отрезке
и
, а функция
непрерывна на отрезке
.
Справедлива формула
.
Доказательство. Так как
непрерывна на
, то она на этом отрезке имеет первообразную, которую обозначим
.
Функция
является первообразной для функции
на отрезке
.
В самом деле, применяя правило дифференцирования сложной функции, получим:
, где
.
Используя формулу Ньютона-Лейбница, получим:
. ▼
Пример. Вычислить 
Сделаем замену

Если
, то
, если
, то 
Следовательно, 
Дата добавления: 2015-08-21; просмотров: 2264;
