Тема: Интегрирование простейших рациональных дробей. Интегрирование тригонометрических выражений.
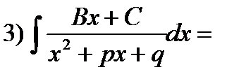
3.1. Интегрирование простейших рациональных дробей.



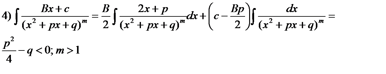
Выделим в числителе производную знаменателя



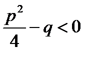
В подынтегральной функции в знаменателе выделим полный квадрат


Сначала в числителе выделим производную квадратного трехчлена


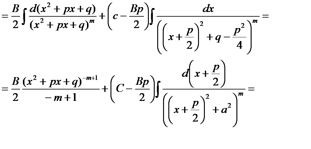
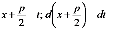
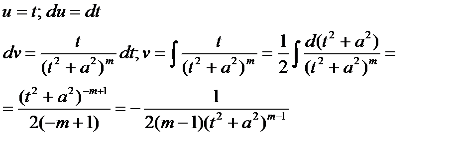
В последнем интеграле сделаем замену переменной 

Нам остается вычислить интеграл

К последнему интегралу применим формулу интегрирования по частям

В результате получим

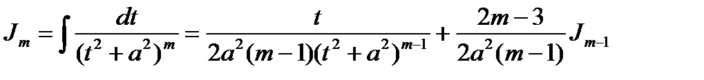
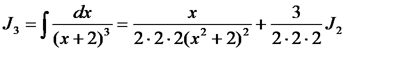
Итак, мы получили рекуррентную (возвратную) формулу

Применяя рекуррентную формулу вычисления интеграла
можно свести к вычислению интеграла 

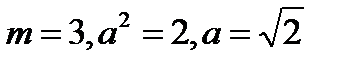
Пример. Вычислить.
. В данном интеграле 
, где
.
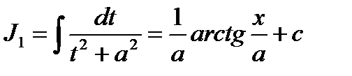
Для вычисления
снова применим рекуррентную формулу, где
.

Учитывая полученное, будем иметь:

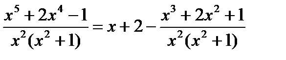
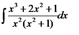
Пример. Вычислить интеграл
. Во-первых, отметим, что подынтегральная функция является неправильной рациональной дробью, т.к. степень числителя больше степени знаменателя, поэтому поделим числитель на знаменатель и представим данную неправильную рациональную дробь в виде суммы многочлена и правильной рациональной дроби.
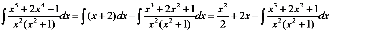
Итак, имеем:


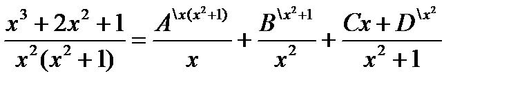
Теперь остается вычислить интеграл
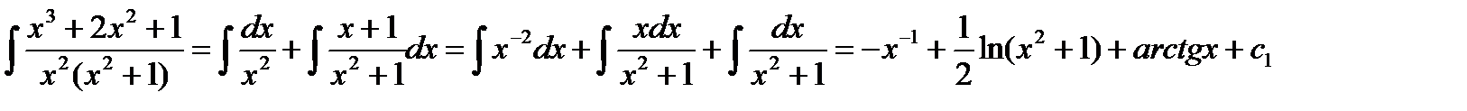
от правильной рациональной дроби. Для этого подынтегральную правильную рациональную дробь представили в виде суммы простейших рациональных дробей




Учитывая полученный результат, будем иметь:

3.2. Интегрирование тригонометрических выражений.
Мы будем рассматривать
, где
есть рациональная функция от
и
. Т.е. если положить
, a
, то
есть отношение двух многочленов от
.
Например:

Далее функция
не является рациональной функцией от
и
, т.к.
входит под знак корня.
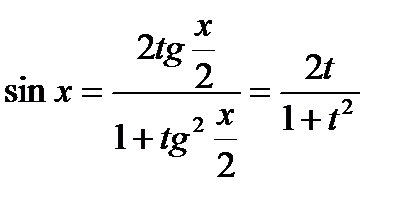
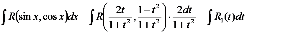
3.2.1. Универсальная подстановка.
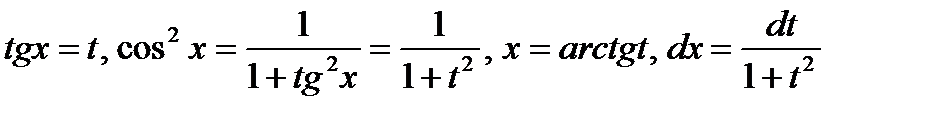
Интеграл
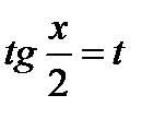
с помощью подстановки
всегда сводится к интегралу от рациональной функции:



В результате получаем:

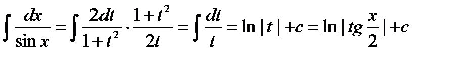
Пример. Вычислить интеграл
, пользуясь указанной заменой переменной
,
,
, получим:

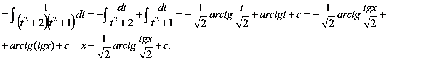
Пример. Вычислить интеграл 

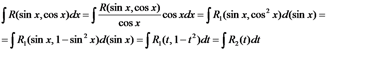
3.2.2. Теперь предположим, что
, т.е. подынтегральная функция нечетная относительно
. В этом случае имеем:

В этом случае была сделана замена
, и вычисление данного интеграла сводится к вычислению интеграла от рациональной функции.
Пример. Вычислить интеграл:

3.2.3. Пусть
, т.е. подынтегральная функция нечетная относительно
. В этом случае замена
сводит вычисление
к вычислению интеграла от рациональной функции.
3.2.4. Теперь рассмотрим тот случай, когда
, т.е. подынтегральная функция четная относительно
и
одновременно. В этом случае замена
позволяет свести вычисление интеграла
к вычислению интеграла от рациональной функции. В самом деле,
, т.к.
, то функция
является четной относительно
, поэтому
и
.

В результате замены переменной получим:

Пример. Вычислить интеграл
.
Подынтегральная функция является четной относительно
и
одновременно. Поэтому можно применить подстановку:
,
. Имеем:

В последнем интеграле подынтегральная функция является правильной рациональной дробью, которую представим в виде суммы простейших рациональных дробей



Дата добавления: 2015-08-21; просмотров: 1422;
