Лекция 2.
Лекция 1.
Тема: Первообразная. Определение неопределенного интеграла, его свойства. Таблица интегралов. Замена переменной в неопределенном интеграле.
1.1. Первообразная
Определение. Первообразной для функции
в интервале
называется функция
, производная которой равна
, т.е.
.
Пример. Найти первообразную для функции
,
, так как
. Легко заметить, что любая функция
является первообразной для функции
, где
– const.
Таким образом, если функция
имеет одну первообразную
, то
имеет бесконечно много первообразных
т.к.
.
Теорема: Если функция
в интервале имеет первообразную
, то любая другая первообразная отличается от данной на константу.
Доказательство: Пусть
и
– две первообразные для функции
в интервале
, т.е.
и
. Рассмотрим функцию
.
Функция
дифференцируема в интервале
как разность двух дифференцируемых функций. Следовательно,
непрерывна в интервале
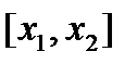
. Рассмотрим произвольный отрезок
принадлежащий
. Функция
непрерывна на отрезке
, дифференцируема в интервале
. Следовательно,
на отрезке
удовлетворяет всем условиям теоремы Лагранжа, по которой выполняется равенство
, где
некоторая точка интервала
.
Имеем
.Поэтому
и
. Отсюда следует, что
и
. ▼
В дальнейшем будет доказано, что всякая непрерывная функция имеет первообразную.
1.2. Определение неопределенного интеграла и его свойства.
Определение: Неопределенным интегралом для функции
называют совокупность всех ее первообразных
.
Неопределенный интеграл обозначается
.
, где
какая-либо одна из первообразных для
.
называется подынтегральной функцией,
подынтегральным выражением.
Свойства неопределенного интеграла:
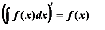
1. 
Доказательство. Пусть
одна из первообразных функции
, тогда 
.
Таким образом, действие интегрирования проверяется дифференцированием.
2. 
Свойство 2 вытекает из свойства 1.
3.Постоянный множитель можно выносить за знак неопределенного интеграла.

4.
.
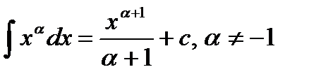
Таблица интегралов.
Из определения интеграла и формул дифференцирования функций следуют равенства:
1)
2)
3)
4)
5)
6)
| 7)
8)
9)
10)
11)
|
Все формулы проверяются дифференцированием.
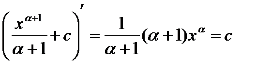
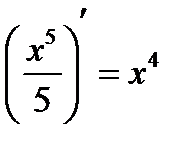
Так из равенства:

следует справедливость второй формулы.
Проверим теперь формулу 3 при
.
Имеем:
и
.
В последнем равенстве применили правило дифференцирования сложной функции.
1.3. Замена переменной в неопределенном интеграле.
Замена переменной в неопределенном интеграле есть действие обратное дифференцированию сложной функции.
Справедливо равенство:
, где
(1)
В самом деле, пусть
первообразная для
тогда

Использование формулы (1) слева направо называется подведением под знак дифференциала.
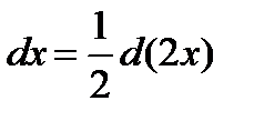
Приведем некоторые примеры:
Пример
, где 
В данном примере подводим под знак дифференциала 2х
Имеем:
отсюда
.
Пример
, где 
Пример


Пример
, т.к. 
В дальнейшем мы покажем использование формулы (1) замены переменной справа налево.
Лекция 2.
Дата добавления: 2015-08-21; просмотров: 1014;

2)
3)
4)
5)
6)
8)
9)
10)
11)