Тема: Интегрирование по частям. Замена переменной в неопределенном интеграле. Интегрирование рациональных дробей. Разложение правильной рациональной дроби на простейшие.
2.1. Интегрирование по частям.
Интегрирование по частям есть действие обратное дифференцированию произведения.
Имеем: 
Проинтегрируем обе части равенства:

отсюда получаем:
|
Пример


Пример

В интеграле
еще раз применим интегрирование по частям:

В данном примере интегрирование по частям применено дважды.
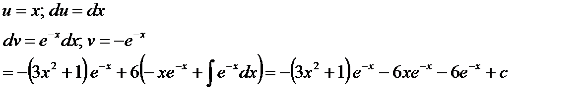
Пример
, где 
Замечание: Если под знаком интеграла имеем дробь
, числитель которой есть производная знаменателя, то интеграл от этой дроби равен логарифму натуральному от модуля знаменателя!!!
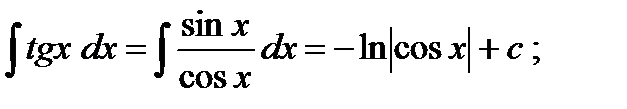
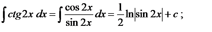
Пример



2.2. Интегрирование заменой переменной.
Рассмотрим формулу (1) в следующем виде:
, где
обратная функция для функции
. Обратим внимание на то, что при замене переменной
последняя функция должна иметь обратную.
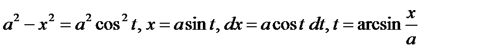
В данном интеграле сделана замена
. Сложность заключается в том, что таких замен бесконечно много и нужно подобрать такую, чтобы вновь полученный интеграл был проще исходного.
Пример



2.3. Интегрирование рациональных дробей. Разложение правильной дроби на простейшие.
Определение: Рациональной дробью называется отношение двух многочленов.
, где
и
многочлены соответственно степеней m и n.
Определение: Рациональная дробь
называется правильной, если степень числителя меньше степени знаменателя, т.е.
, в противном случае рациональная дробь – неправильная.
Всякая неправильная дробь всегда может быть представлена в виде суммы многочлена и правильной рациональной дроби. Это достигается делением числителя на знаменатель.
Отсюда следует, что интегрирование неправильной рациональной дроби всегда можно свести к интегрированию правильной рациональной дроби.
В дальнейшем мы покажем, что всякую правильную рациональную дробь можно представить в виде суммы простейших рациональных дробей.
К простейшим рациональным дробям относятся дроби:
1) 
2) 
3) 
4) 
Пусть дана правильная рациональная дробь
.
Коэффициент при
у многочлена
можно считать равным 1. Этого можно достичь, деля числитель и знаменатель на одно и то же число.
Многочлен
имеет ровно n корней, учитывая их кратность, т.е.:
, где
действительные корни,
комплексные корни,
кратность соответствующих корней.
Так как
– многочлен с действительными коэффициентами, то каждому комплексному корню соответствует сопряженный комплексный корень той же кратности.
Пусть
комплексный корень
кратности
, тогда
тоже корень
кратности
. Поэтому в многочлене
будет присутствовать произведение:

где 
Следовательно, многочлен
всегда можно представить в следующем виде:
.
Теорема: Всякую правильную рациональную дробь всегда можно представить в виде суммы простейших рациональных дробей в следующем виде:
где А, В, С с соответствующими индексами – неопределенные коэффициенты.
(теорема без доказательства)
Неопределенные коэффициенты находятся следующим образом: равенство (2) приводят к общему знаменателю, которым является
. Затем приравниваем числители в левой и правой части полученного равенства. Далее приравнивают коэффициенты при одинаковых степенях х в левой и правой части последнего равенства. В результате получим систему линейных уравнений относительно неопределенных коэффициентов. Решая эту систему, найдем неопределенные коэффициенты.
Таким образом, интегрирование всякой рациональной дроби сводится к интегрированию простейших рациональных дробей.
Дата добавления: 2015-08-21; просмотров: 1584;
