Занятие №13. Функция. Вычисление пределов функции
№1. Найти область определения функции
а)
; б)
;
в)
г)
.
№2. Найти область значений функции
а)
б)
.
№3. Построить графики функций
а)
б) 
б)
в)
№4. Выяснить четность (нечетность) функции
а)
б) 
в)
г)
.
№5. Доказать, используя определение предела, что

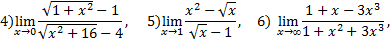
№6. Найти пределы:
1) 



14) 
15)
Занятие №14. «Замечательные» пределы. Непрерывность функции в точке и на интервале
№1. Вычислите пределы функций, используя первый и второй замечательные пределы:

4) 

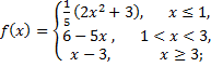
№2. Исследовать функции на непрерывность:
1) 
2) 
№3. Исследовать функцию на непрерывность в заданных точках:
1)
2)
;
4)
№4. Какие из данных функций являются непрерывными в точке
? В случае нарушения непрерывности установить характер точки разрыва:
Дата добавления: 2015-08-11; просмотров: 1021;
