Занятие №12. Каноническое уравнение поверхностей второго порядка
№1. Определить координаты центра и радиус сферы

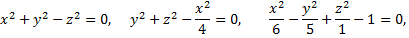
№2. Какие поверхности определяются уравнениями

№3. Найти угол между образующей и осью конуса

№4. Найти главные сечения эллипсоида

определить его вершины и длину осей.
№5. Написать уравнение плоскости, касающейся поверхности

в точке 
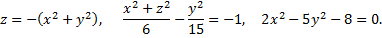
№6. Какие поверхности определяются уравнениями
Дата добавления: 2015-08-11; просмотров: 853;
