Локальная теорема Лапласа. Интегральная теорема Лапласа
Локальная теорема Лапласа дает формулу, которая позволяет приближенно найти вероятность появления события ровно m раз в n испытаниях, если число испытаний достаточно велико.
Теорема Лапласа: если вероятность p появления события
в каждом испытании постоянна и отлична от нуля, то вероятность
того, что событие
появится в n испытаниях ровно
раз, приближенно равна

Рассмотрим пример. Вероятность поражения мишени стрелком при одном выстреле
. Найти вероятность того, что при 10 выстрелах стрелок поразит мишень ровно 8 раз.
Используя формулу Лапласа, получим
так как
согласно таблице функции Лапласа.
Предположим, что производится n испытаний, в каждом из которых вероятность появления события
постоянна и равна
Как вычислить вероятность того, что событие
появится в
испытаниях не менее
раз и не более
раз?
Интегральная теорема Лапласа: если вероятность
наступления события
в каждом испытании постоянна и отлична от нуля и единицы, то вероятность


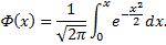
Ф(x) – интегральная функция Лапласа, которая равна
Рассмотрим пример. Вероятность того, что деталь не прошла проверку ОТК, равна
. Найти вероятность того, что среди 400 случайно отобранных деталей окажется не проверенных от 70 до 100 деталей.
Согласно тем данным, которые даны в задаче, можно, используя интегральную формулу Лапласа найти искомую вероятность


так как

Дата добавления: 2015-08-11; просмотров: 1239;
