Вычисление криволинейных интегралов первого и второго рода. Условия независимости криволинейного интеграла от пути интегрирования
Вычисление криволинейных интегралов первого рода.
Пусть кривая
задана параметрическими уравнениями

где
– непрерывные вместе со своими производными
функции, а
функция непрерывная вдоль этой кривой. Тогда для любой точки
кривой
длину
дуги
можно рассматривать как функцию параметра
и вычислять по формуле

Откуда, согласно правилу дифференцирования интеграла по верхнему пределу,
Если кривая
задана уравнением
то

Рассмотрим пример. Вычислить криволинейный интеграл

где
дуга параболы
от точки
до точки 
Воспользуемся формулой

для этого определим

тогда

Вычисление криволинейных интегралов второго рода.
Криволинейные интегралы второго рода вычисляют сведением их к определенным интегралам.
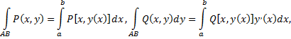
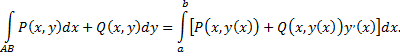
Если кривая
задана уравнением вида

где
непрерывно дифференцируемая функция, то, принимая
за параметр
получаем


Аналогично поступаем, если кривая
задана уравнением вида 
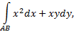
Рассмотрим пример. Вычислить интеграл

где
четверть окружности

соответствует
соответствует 
Имеем

Получаем

Рассмотрим пример. Вычислить интеграл

где
контур прямоугольника, образованного прямыми 

Рис. 61
Контур интегрирования
На рисунке 61 положительное направление обхода контура
обозначено стрелками. Разбивая весь контур интегрирования на части, получим

Интегралы вдоль участков
и
равны нулю, так как на них
является постоянным и, следовательно,
Остается вычислить интегралы по участкам
и 
Получим
Окончательно получим

Дата добавления: 2015-08-11; просмотров: 3253;
