Геометрический смысл двойного интеграла
Вычисление площади посредством двойного интеграла.
Площадь
плоской области
равна двойному интегралу от
распространенному на область 

В прямоугольных координатах
и

В полярных координатах
и

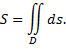
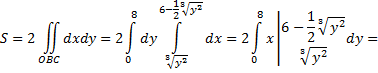
Рассмотрим пример. Найти площадь области, ограниченной линиями

Построив данные полукубические параболы, получим криволинейный четырехугольник
Точки,
и
пересечения кривых найдены путем совместного решения их уравнений.

Рис. 55
Криволинейный четырехугольник
Вследствие симметричности фигуры относительно оси
ее площадь
равна удвоенной площади криволинейного треугольника
расположенного в первом квадрате.
Согласно формуле

площадь области
равна


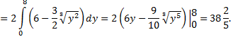
Если интегрировать в другом порядке, то необходимо разбить область
прямой, проходящей через точку
параллельно оси
на две части

Результат при этом получится тот же самый.
Вычисление объема тела.
Объем вертикального цилиндрического тела, имеющего своим основанием область
на плоскости
и ограниченного сверху поверхностью
выражается двойным интегралом


Рис. 56
Вертикальное цилиндрическое тело
Рассмотрим пример. Вычислить объем тела, ограниченного поверхностями

Данное тело представляет собой вертикальный цилиндр, который сверху ограничен плоскостью
а снизу – частью плоскости
заключенной между параболой
и прямой 

Рис. 57
Вертикальный цилиндр
Согласно формуле

объем этого тела


Дата добавления: 2015-08-11; просмотров: 1344;
