Интегрирование функций, содержащих квадратный трехчлен
На практике часто встречаются интегралы следующего вида
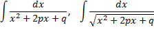
или

где многочлен
не имеет вещественных корней, так что 
Для того, чтобы привести интегралы такого вида к табличным, необходимо из трехчлена в знаменателе выделить полный квадрат

Это представление подсказывает подстановку
откуда
Положим далее
и перейдем к переменной
В результате интеграл

преобразуется к виду


Если
то интеграл преобразуется к виду

Интеграл

где многочлен
не имеет вещественных корней, так что
преобразуется к виду


Если
то интеграл преобразуется к виду

Рассмотрим пример. Вычислить интеграл
Выделим в знаменателе полный квадрат

Сделаем подстановку
откуда
поэтому

Рассмотрим пример. Вычислить интеграл

Выделим в знаменателе полный квадрат

Сделаем подстановку

Тогда



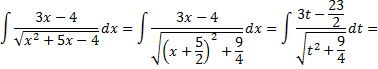
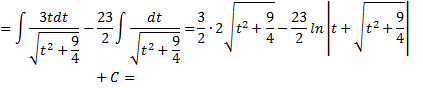
Рассмотрим пример. Вычислить интеграл
Выделим в знаменателе полный квадрат

Сделаем подстановку

Тогда



Контрольные вопросы
1. По какой формуле осуществляется интегрирование по частям?
2. В каких случаях применяют метод интегрирования по частям?
3. Как привести интегралы, содержащие квадратный трехчлен к табличным интегралам?
4. К каким табличным интегралам чаще всего приводят интегралы, содержащие квадратный трехчлен?
Дата добавления: 2015-08-11; просмотров: 4035;
