Интегрирование рациональных дробей
Рассмотрим методы интегрирования элементарных дробей.
Первый и третий типы интегралов от элементарных дробей приводятся к табличным подстановкой 


Второй тип интегралов очень часто встречаются на практике. Из трехчлена в знаменателе выделяют полный квадрат





Рассмотрим применение выше приведенных формул на примере:



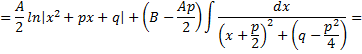
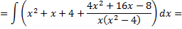
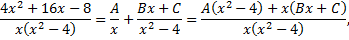
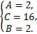
Рассмотрим еще один пример:






Контрольные вопросы
1. Любой ли многочлен можно представить в виде произведения?
2. Сформулировать метод отыскания коэффициентов разложения рациональной функции.
3. Перечислить основные методы интегрирования элементарных дробей.
Дата добавления: 2015-08-11; просмотров: 904;
