Интегрирование с помощью универсальных подстановок
Интегралы вида

где
рациональная функция, приводятся к интегралам от рациональных функций новой переменной
с помощью универсальной подстановки

В этом случае

Интегралы вида

где
рациональная функция, приводятся к интегралам от рациональных функций новой переменной
с помощью упрощенной подстановки

при этом

Рассмотрим пример:


Рассмотрим пример:




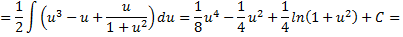
Рассмотрим пример:



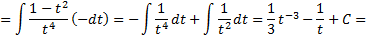
Рассмотрим пример:


Контрольные вопросы
1. В каких случаях применяют метод замены переменной в интегрировании?
2. С помощью какого метода находят интегралы от обратных тригонометрических функций?
3. С помощью, какой универсальной подстановки находят интегралы, содержащие тригонометрические функции?
Дата добавления: 2015-08-11; просмотров: 1112;
