Линейные и дробно-линейные иррациональности
Рассмотрим интеграл вида

где
постоянные,
рациональная функция относительно своих двух аргументов. Тогда вся подынтегральная функция, рассмотренная как сложная функция от
будет из-за наличия радикала иррациональной. Для рационализации этого интеграла совершим подстановку


Полученная функция является рациональной.
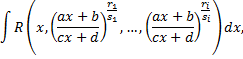
Аналогичным образом, интеграл
где
рациональная функция от своих аргументов, переходит в интеграл от рациональной функции после подстановки
с соответственно подобранным 
Рассмотрим пример:


=

Рационализация интеграла

где
рациональная функция, осуществляется с помощью подстановки

Не для всякой иррациональной функции можно найти первообразную в виде элементарной функции. Рассмотрим интегралы от некоторых иррациональных функций, которые с помощью определенных подстановок приводятся к интегралам от рациональных функций новой переменной.
Интеграл вида

где
рациональная функция,
постоянные,
целые положительные числа,
приводится к интегралу от рациональной функции новой переменной
с помощью подстановки

где число
наименьшее общее кратное знаменателей дробей

т.е. 
Интеграл вида
приводится к интегралу от рациональной функции новой переменной
с помощью подстановки 
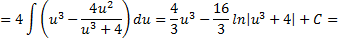
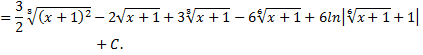
Рассмотрим пример:



Рассмотрим еще один пример:




Интеграл вида

где
постоянные, отличные от нуля,
рациональные числа, можно привести к интегралу от рациональной функции с помощью подстановок Чебышева в трех случаях:
1) если
целое число, то имеем случай интегрирования простейших иррациональных функций;
2) если

- целое число, то применяется подстановка
;
3) если

- целое число, то используется подстановка 
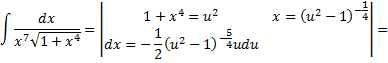
Рассмотрим пример:
Так как
то

- целое число. Тогда


Дата добавления: 2015-08-11; просмотров: 1654;
