Занятие № 24. Интегрирование тригонометрических функций
№1. Найти интеграл:







№2. Найти неопределенные интегралы:











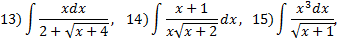
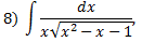
Занятие № 25. Интегрирование некоторых иррациональных функций
№1. Найти неопределенные интегралы:







№2. Найти интегралы:






Дата добавления: 2015-08-11; просмотров: 932;
