Занятие №26. Определенный интеграл
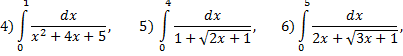
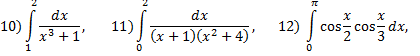
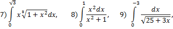
№1. Вычислить определенные интегралы:




№2. Вычислить площадь фигуры, ограниченной линиями:
а) 
б) 
в) 
Примечание: искомая площадь фигуры, ограниченной двумя кривыми 
находится по формуле

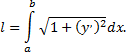
№3. Вычислить длину дуги кривой на заданном участке от точки
до точки
если кривая задана уравнением:
а) 
б) 
Примечание: если дуга задана уравнением
на отрезке
то для нахождения длины дуги кривой используют формулу

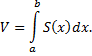
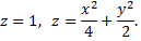
№1. Вычислить объем тела, ограниченного поверхностями
Примечание: если в пространстве дано некоторое тело, проектирующееся на ось
в отрезок
тогда объем тела вычисляют так

№2. Вычислить объем тела, полученного при вращении вокруг оси
фигуры, лежащей в плоскости
и ограниченной линиями 
Примечание: объем тела, полученного вращением криволинейной трапеции вокруг оси
выражается формулой

Дата добавления: 2015-08-11; просмотров: 801;
