Вторая пара уравнений Максвелла в интегральной форме

13.2.1. Первое уравнение второй пары - это теорема о циркуляции + что-то еще.
Для вектора
теорема о циркуляции (11.5.4) гласит:
.
| (11.5.4) |
В вакууме:
.
Тогда
,
| или | .
|
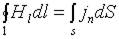
При непрерывном распределении тока через поверхность S
,
здесь j - плотность тока (10.2).
Тогда имеем
.
Интеграл слева берется по произвольному воображаемому контуру, интеграл справа - по произвольной поверхности, "натянутой" на этот контур.
В веществе теорема о циркуляции для вектора
имеет тот же вид:
,
но при этом в интеграле справа не учитываются микроскопические токи вещества, приводящие к изменению магнитной индукции в веществе (12).
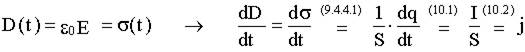
13.2.1.1. + что-то еще - это "ток смещения"
Применим теорему о циркуляции вектора
к магнитному полю, созданному переменным электрическим током, перезаряжающим конденсатор.

,
.
См. (9.4.4.1) , (10.1), (10.2).
На S2 j = 0, но
, а по величине
, значит ?
.
Величину
Максвелл назвал "током смещения".
Как видно, "ток смещения" - это переменное во времени электрическое поле.
Первое уравнение второй пары утверждает, что магнитное поле создается током проводимости и переменным электрическим полем ("током смещения").
13.2.2. Второе уравнение второй пары - это теорема Гаусса для вектора
(9.13.4)
,
где qi - свободные, не связанные заряды.
При непрерывном распределении заряда
.
Дата добавления: 2015-08-08; просмотров: 1007;

.
,
.