Энергия магнитного поля. Работа эта совершена за счет исчезновения магнитного поля соленоида (11.5.5)
| По катушке L течет ток I, поддерживаемый источником ε. При размыкании цепи (ключ переводим в положение 2) ток I поддерживается за счет ЭДС самоиндукции εсам (11.11), возникающей за счет уменьшения тока I. Работа, совершаемая εсам по перемещению заряда dq,
.
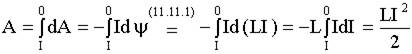
См. (10.3), (10.1), (11.11.1).
|
Вся работа:
.
Работа эта совершена за счет исчезновения магнитного поля соленоида (11.5.5).
Запас энергии в магнитном поле выразим через индукцию В, для этого ток I выразим из формулы B = μ0nI , индуктивность L подставим из (11.11.2):
.
Дата добавления: 2015-08-08; просмотров: 752;

.
См. (10.3), (10.1), (11.11.1).