Занятие №30. Приложения двойного интеграла
№1. Вычислить площадь фигуры ограниченной линиями:
а) 
б) 
в) 
г) 
Примечание: площадь плоской области
равна двойному интегралу

№2. Вычислить объем тела, ограниченного поверхностями:
а) 
б) 
в) 
г) 
Примечание: объем тела, имеющего своим основанием область
на плоскости
и ограниченного сверху поверхностью
выражается двойным интегралом

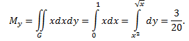
№3. Найти координаты центра масс пластинки, ограниченной двумя параболами

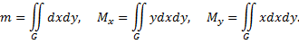
Примечание: координаты центра масс данной пластинки найдем по формулам:


Сначала вычислим массу пластинки

Вычислим статистические моменты пластинки относительно осей координат


Затем найдем координаты центра масс

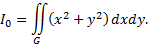
№4. Найти момент инерции круга радиуса
с постоянной плотностью
относительно начала координат.
Примечание: по формуле
имеем

Перейдем к полярным координатам. Уравнение окружности в полярных координатах имеет вид
Поэтому

Дата добавления: 2015-08-11; просмотров: 969;
