Занятие №31. Криволинейный интеграл
№1. Вычислить криволинейные интегралы:
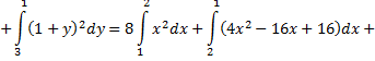
а)

если
ломаная 
б)
если
дуга параболы 
в)

если
ломаная 
г)
если
отрезок прямой от точки
до точки 
Примечание: криволинейный интеграл по длине дуги преобразуют к определенному интегралу. Записывают уравнение линии интегрирования (уравнение прямой или кривой) и преобразуют криволинейный интеграл в определенный интеграл с переменной
и вычисляют его. То есть, записывают чему равен
затем
определяют пределы изменения переменной
подставляют в криволинейный интеграл и решают его как обычный определенный интеграл относительно переменной 
Криволинейный интеграл по ломаной вычисляют как сумму интегралов, взятых по отрезкам разбиения.
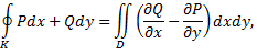
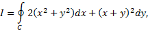
№2. Применяя формулу Грина, вычислить
если
контур треугольника с вершинами
пробегаемый против хода часовой стрелки.
Примечание: если
граница области
и функции
и
вместе со своими частными производными непрерывны в замкнутой области
включая границу
то справедлива формула Грина
обход контура
выбирается так, что область
остается слева.
В данном случае
таким образом

где область
треугольник
Уравнение прямой
уравнение 
Вычисляют двойной интеграл по данной области
Теперь следует вычислить криволинейный интеграл по контуру, состоящему из звеньев 


Уравнение 
Уравнение 
Уравнение 
Дата добавления: 2015-08-11; просмотров: 1207;
