Занятие №29. Вычисление двойного интеграла
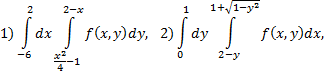
№1. Вычислить:


№2. Вычислить двойной интеграл, если задана область интегрирования 
а)

б)

в)

г)

область
расположена внутри треугольника с вершинами 
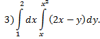
№2. Изменить порядок интегрирования:




Дата добавления: 2015-08-11; просмотров: 975;
