Правила вычисления производной.
1.
.
Док-во:
Дадим x приращение Dx,
. Тогда функция получит приращение Dy. Отсюда
. Так как
, то
. Þ (C)¢=0.
Ч.т.д.
2. Если функции u и v имеют конечные производные, то производная суммы (разности) равна сумме (разности) производных:
.
Док-во:
Дадим x приращение Dx,
. Тогда функция
получит приращение
. Отсюда
=
=
.
Þ
=
=
.
Ч.т.д.
3. Если функции u и v имеют конечные производные, то производная произведения находится по формуле:
.
Доказывается аналогично второму.
Следствие: Константу можно выносить за знак произведения:
.
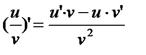
4. Если функции u и v имеют конечные производные, то производная частного находится по формуле:
, где v¹0.
Таблица простейших производных.
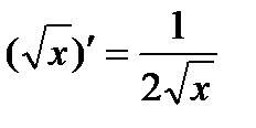
| Степенные функции | |||
|
|
|
|
| Показательные функции | Логарифмические функции | ||
|
|
|
|
| Тригонометрические функции | |||
|
|
|
|
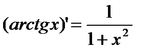
| Обратные тригонометрические функции | |||
|
|
|
|
Дата добавления: 2015-08-11; просмотров: 742;
