Производные тригонометрических функций.
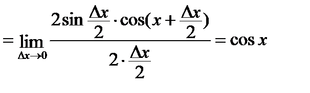
1)
.
=
=
. Þ
.
2)
.
Доказывается аналогично первому:
.
3)
.
=
=
Þ
.
4) y=ctg x.
.
Производные обратных тригонометрических функций.
1) y=arcsin x.
.
2) y=arccos x.
.
3) y=arctg x.
.
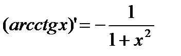
4) y=arcctg x.
.
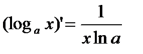
Производные логарифмической и показательной функций.
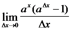
1.
.
=
=
=
= следствие из второго замечательного предела =
= 
´=
.
2.
. y=
.
=
=
.
.
3.
.
=
=
=
=
=
=
.
.
4. y=еx.
.
.
Дата добавления: 2015-08-11; просмотров: 809;
