Производная степенной функции.
Пусть функция
.
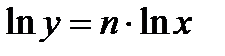
Прологарифмируем эту функцию по основанию e:
.
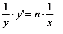
Возьмем производную левой и правой части равенства, считая y функцией от x:
.
Þ производная правой части:
.
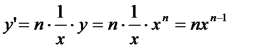
Выразим отсюда y¢.
Описанный прием называется логарифмическим дифференцированием.
.
;
;
;
; 

Дата добавления: 2015-08-11; просмотров: 704;
