Уравнение касательной и нормали к кривой.
Из пучка прямых, проходящих через точку
, выберем одну прямую — касательную к графику функции:
. Из геометрического смысла производной угловой коэффициент касательной:
.
Þ
.
Þ
– уравнение касательной.
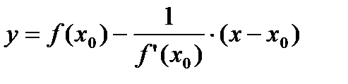
Определение: Нормалью к кривой называется прямая, перпендикулярная к касательной, проведенной в точке касания с абсциссой x0.
Так как нормаль перпендикулярна к касательной, то угловой коэффициент нормали:
(из условия перпендикулярности прямых). Отсюда:
Þ
– уравнение нормали.
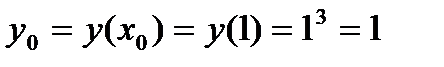
Пример: Составить уравнение касательной и нормали к графику функции
в точке с абсциссой равной 1.
Ордината точки касания: 
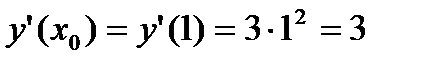
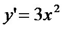
Производная:
.
Найдем значение производной в точке x0: 
, 
Уравнение касательной:
Þ 
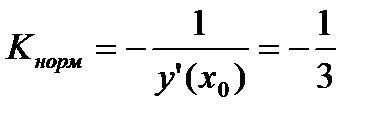
Уравнение нормали:
Þ
.
Дата добавления: 2015-08-11; просмотров: 2246;
