Производная функции одной переменной.
Определение: Пусть функция y=f(x) определена в точке x0 и некоторой ее окрестности. Дадим x0 приращение Dx так, чтобы точка
принадлежала указанной окрестности. Тогда функция получит приращение Dy.
.
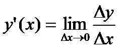
Если существует предел отношения приращения функции к приращению аргумента, когда последний стремится к нулю, то он называется производной функции f(x) в точке x0.
.
Обозначают производную
,
, y',
,
.
Замечание: Если изменить x0, то будет изменяться и производная функции в точке x0, следовательно, производная функции тоже является функцией.
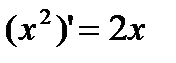
Пример: Найти по определению производную функции y=x2.
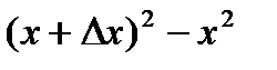
Возьмем произвольную точку x, дадим приращение Dx, x®x+Dx. Функция получит приращение Dy:
=
=
=
.
Рассмотрим предел
=
= 
Итак, производная
.
Дата добавления: 2015-08-11; просмотров: 768;
