Плотность вероятности функции от случайной величины.
Пусть Y –случайная величина, связь с X зависимостью вида
. Попадание случайной точки x в интервал dx и попадание случайной точки Y в
являются эквивалентными событиями, поэтому вероятности их совпадают:
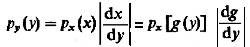
. Отсюда
(24)
Где x=g(y) функция обратная по отношению к y=f(x). Если функциональная связь неоднозначна, так, что имеется несколько обратных функций
то формулу 24 можно обобщить:
(25)
Дата добавления: 2015-08-14; просмотров: 645;
