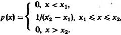
Равномерное распределение.
Пусть некоторая случайная величина X может принимать значения, принадлежащее лишь
причём вероятность попадания в любые внутренние интервалы одинаковой ширины
равны. Тогда :
(16)
Функцию распределения найдём :
(17)
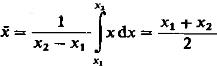
Математическое ожидание:
(18)
Совпадает с центром отрезка 
дисперсия
(19)
Дата добавления: 2015-08-14; просмотров: 691;
