Неопределенный интеграл
Определение 1. Функция F(x)называется первообразной для f(x) если F
Определение 2. Неопределенным интегралом от функции f(x) называется совокупность всех первообразных для этой функции.
Обозначение:
, где c - произвольная постоянная.
Свойства неопределенного интеграла
1Производная неопределенного интеграла:
2. Дифференциал неопределенного интеграла:
3. Неопределенный интеграл от дифференциала:
4. Неопределенный интеграл от суммы (разности) двух функций:
;
5. Вынесение постоянного множителя за знак неопределенного интеграла:
3. Таблица интегралов
3.1.3 Основные методы интегрирования
1. Использование свойств неопределенного интеграла.
Пример 29.
2. Подведение под знак дифференциала.
Пример 30.
3. Метод замены переменной:
а) замена x
в интеграле
,
где g(t)=f
– функция при удачной замене должна легче интегрироваться.
После получения первообразной от переменной t необходимо вернуться к старой переменной.
Пример 31.
б) замена t=
в интеграле вида:

;
Пример 32.
=
- 
Пример 33.
4. Метод интегрирования по частям:
Пример 34.
Пример 35.
Возьмем отдельно интеграл
Вернемся к нашему интегралу:
Интегрирование элементарных дробей.
Определение: Элементарныминазываются дроби следующих четырех типов:
I.
III. 
II.
IV. 
m, n – натуральные числа (m ³ 2, n ³ 2) и b2 – 4ac <0.
Первые два типа интегралов от элементарных дробей довольно просто приводятся к табличным подстановкой t = ax + b.
I. 
II. 
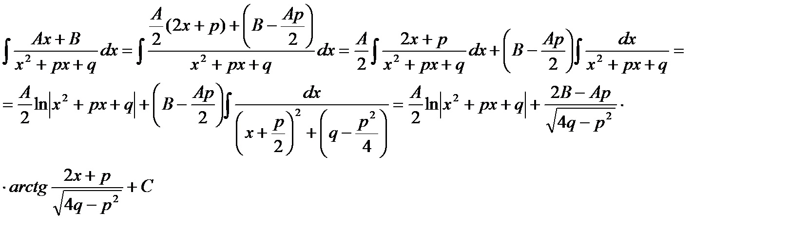
Рассмотрим метод интегрирования элементарных дробей вида III.
Интеграл дроби вида III может быть представлен в виде:

Здесь в общем виде показано приведение интеграла дроби вида III к двум табличным интегралам.
Рассмотрим применение указанной выше формулы на примерах.
Пример.
Вообще говоря, если у трехчлена ax2 + bx + c выражение b2 – 4ac >0, то дробь по определению не является элементарной, однако, тем не менее ее можно интегрировать указанным выше способом.
Пример.


Пример.

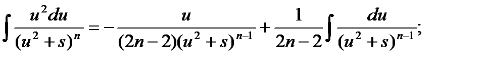
Рассмотрим теперь методы интегрирования простейших дробей IV типа.
Сначала рассмотрим частный случай при М = 0, N = 1.
Тогда интеграл вида
можно путем выделения в знаменателе полного квадрата представить в виде
. Сделаем следующее преобразование:
.
Второй интеграл, входящий в это равенство, будем брать по частям.
Обозначим: 

Для исходного интеграла получаем:


Полученная формула называется рекуррентной. Если применить ее n-1 раз, то получится табличный интеграл
.
Вернемся теперь к интегралу от элементарной дроби вида IV в общем случае.

В полученном равенстве первый интеграл с помощью подстановки t = u2 + s приводится к табличному
, а ко второму интегралу применяется рассмотренная выше рекуррентная формула.
Несмотря на кажущуюся сложность интегрирования элементарной дроби вида IV, на практике его достаточно легко применять для дробей с небольшой степенью n, а универсальность и общность подхода делает возможным очень простую реализацию этого метода на ЭВМ.
Пример:

Интегрирование рациональных функций.
Интегрирование рациональных дробей.
Для того, чтобы проинтегрировать рациональную дробь необходимо разложить ее на элементарные дроби.
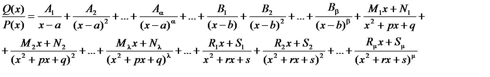
Теорема: Если
- правильная рациональная дробь, знаменатель P(x) которой представлен в виде произведения линейных и квадратичных множителей (отметим, что любой многочлен с действительными коэффициентами может быть представлен в таком виде: P(x) = (x - a)a…(x - b)b(x2 + px + q)l…(x2 + rx + s)m ), то эта дробь может быть разложена на элементарные по следующей схеме:

где Ai, Bi, Mi, Ni, Ri, Si – некоторые постоянные величины.
При интегрировании рациональных дробей прибегают к разложению исходной дроби на элементарные. Для нахождения величин Ai, Bi, Mi, Ni, Ri, Si применяют так называемый метод неопределенных коэффициентов, суть которого состоит в том, что для того, чтобы два многочлена были тождественно равны, необходимо и достаточно, чтобы были равны коэффициенты при одинаковых степенях х.
Применение этого метода рассмотрим на конкретном примере.
Пример.

Т.к. (
, то

Приводя к общему знаменателю и приравнивая соответствующие числители, получаем:





Итого:

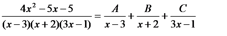
Пример.

Т.к. дробь неправильная, то предварительно следует выделить у нее целую часть:
6x5 – 8x4 – 25x3 + 20x2 – 76x – 7 3x3 – 4x2 – 17x + 6
6x5 – 8x4 – 34x3 + 12x2 2x2 + 3
9x3 + 8x2 – 76x - 7
9x3 – 12x2 – 51x +18
20x2 – 25x – 25

Разложим знаменатель полученной дроби на множители. Видно, что при х = 3 знаменатель дроби превращается в ноль. Тогда:
3x3 – 4x2 – 17x + 6 x - 3
3x3 – 9x2 3x2 + 5x - 2
5x2 – 17x
5x2 – 15x
- 2x + 6
-2x + 6
Таким образом 3x3 – 4x2 – 17x + 6 = (x – 3)(3x2 + 5x – 2) = (x – 3)(x + 2 )(3x – 1). Тогда:


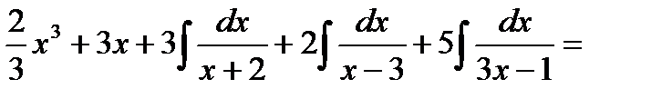
Для того, чтобы избежать при нахождении неопределенных коэффициентов раскрытия скобок, группировки и решения системы уравнений (которая в некоторых случаях может оказаться достаточно большой) применяют так называемый метод произвольных значений. Суть метода состоит в том, что в полученное выше выражение подставляются поочередно несколько (по числу неопределенных коэффициентов) произвольных значений х. Для упрощения вычислений принято в качестве произвольных значений принимать точки, при которых знаменатель дроби равен нулю, т.е. в нашем случае – 3, -2, 1/3. Получаем:

Окончательно получаем:
= 

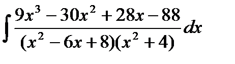
Пример.

Найдем неопределенные коэффициенты:




Тогда значение заданного интеграла:

Интегрирование некоторых тригонометрических
функций.
Интегралов от тригонометрических функций может быть бесконечно много. Большинство из этих интегралов вообще нельзя вычислить аналитически, поэтому рассмотрим некоторые главнейшие типы функций, которые могут быть проинтегрированы всегда.
Интеграл вида
.
Здесь R – обозначение некоторой рациональной функции от переменных sinx и cosx.
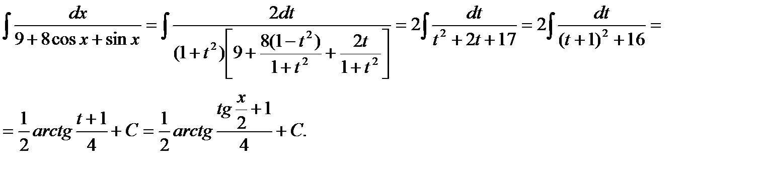
Интегралы этого вида вычисляются с помощью подстановки
. Эта подстановка позволяет преобразовать тригонометрическую функцию в рациональную.
, 
Тогда 
Таким образом: 
Описанное выше преобразование называется универсальной тригонометрической подстановкой.
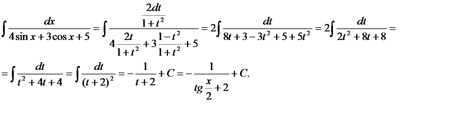
Пример. 
Несомненным достоинством этой подстановки является то, что с ее помощью всегда можно преобразовать тригонометрическую функцию в рациональную и вычислить соответствующий интеграл. К недостаткам можно отнести то, что при преобразовании может получиться достаточно сложная рациональная функция, интегрирование которой займет много времени и сил.
Однако при невозможности применить более рациональную замену переменной этот метод является единственно результативным.
Пример.

Интеграл вида
если
функция R является нечетной относительно cosx.
Несмотря на возможность вычисления такого интеграла с помощью универсальной тригонометрической подстановки, рациональнее применить подстановку t = sinx.

Функция
может содержать cosx только в четных степенях, а следовательно, может быть преобразована в рациональную функцию относительно sinx.

Пример.

Вообще говоря, для применения этого метода необходима только нечетность функции относительно косинуса, а степень синуса, входящего в функцию может быть любой, как целой, так и дробной.
Интеграл вида
если
функция R является нечетной относительно sinx.
По аналогии с рассмотренным выше случаем делается подстановка t = cosx.
Тогда 
Пример.

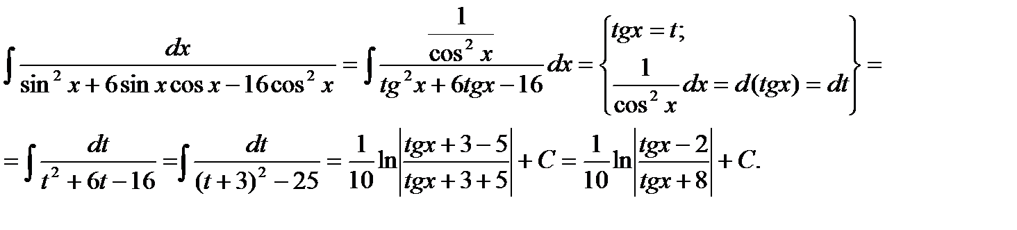
Интеграл вида
функция R четная относительно sinx и cosx.
Для преобразования функции R в рациональную используется подстановка
t = tgx.
Тогда 
Пример.

Интеграл произведения синусов и косинусов
различных аргументов.
В зависимости от типа произведения применятся одна из трех формул:



Пример.

Пример.

Иногда при интегрировании тригонометрических функций удобно использовать общеизвестные тригонометрические формулы для понижения порядка функций.
Пример.

Пример.

Иногда применяются некоторые нестандартные приемы.
Пример.

Итого 

Дата добавления: 2015-08-11; просмотров: 1640;
