Способ. Метод неопределенных коэффициентов.
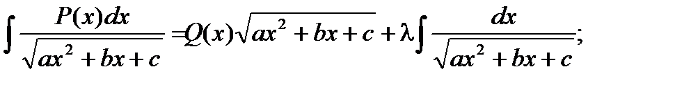
Рассмотрим интегралы следующих трех типов:

где P(x) – многочлен, n – натуральное число.
Причем интегралы II и III типов могут быть легко приведены к виду интеграла I типа.
Далее делается следующее преобразование:

в этом выражении Q(x)- некоторый многочлен, степень которого ниже степени многочлена P(x), а l - некоторая постоянная величина.
Для нахождения неопределенных коэффициентов многочлена Q(x), степень которого ниже степени многочлена P(x), дифференцируют обе части полученного выражения, затем умножают на
и, сравнивая коэффициенты при одинаковых степенях х, определяют l и коэффициенты многочлена Q(x).
Данный метод выгодно применять, если степень многочлена Р(х) больше единицы. В противном случае можно успешно использовать методы интегрирования рациональных дробей, рассмотренные выше, т.к. линейная функция является производной подкоренного выражения.
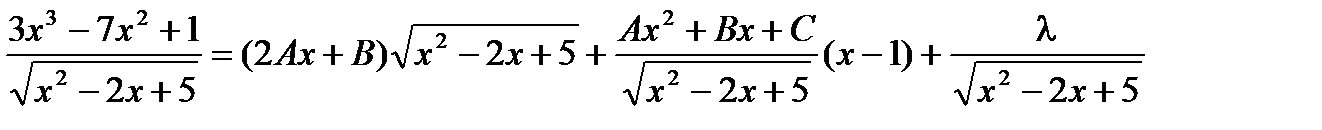
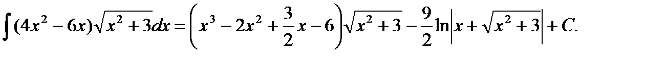
Пример.
.
Теперь продифференцируем полученное выражение, умножим на
и сгруппируем коэффициенты при одинаковых степенях х.

= 
= 


Итого
=
= 
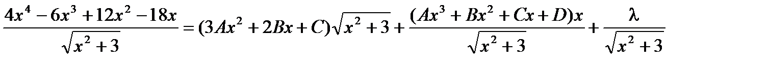
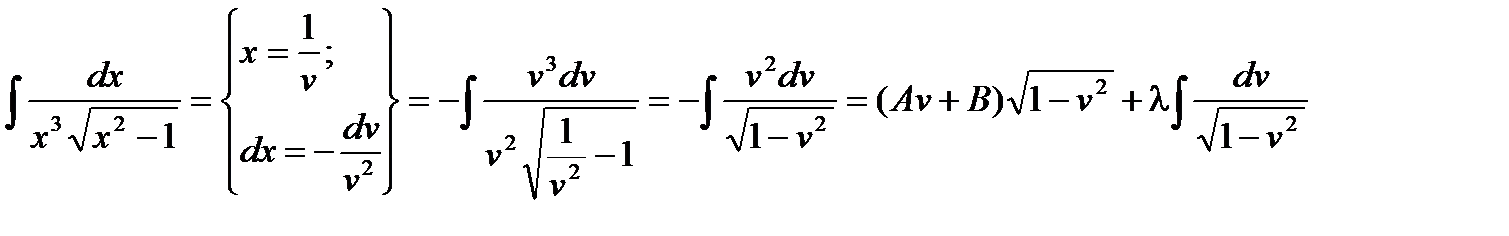
Пример.







Пример.






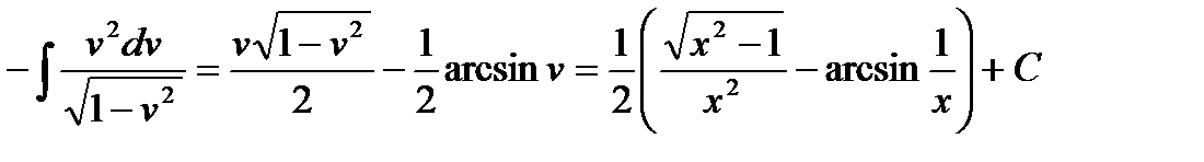
Второй способ решения того же самого примера.

С учетом того, что функции arcsin и arccos связаны соотношением
, а постоянная интегрирования С – произвольное число, ответы, полученные различными методами, совпадают.
Как видно, при интегрировании иррациональных функций возможно применять различные рассмотренные выше приемы. Выбор метода интегрирования обуславливается в основном наибольшим удобством, очевидностью применения того или иного метода, а также сложностью вычислений и преобразований.
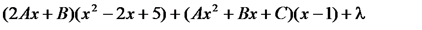
Пример.

Дата добавления: 2015-08-11; просмотров: 1245;
