Ряды Фурье четных и нечетных периодических функций с произвольным периодом
Если разлагаемая на отрезке
в ряд Фурье функция
является четной или нечетной, то это отражается на формулах коэффициентов Фурье (вычисление их упрощается) и на виде самого ряда (он становится неполным).
Если функция
четная, то ее ряд Фурье имеет вид

где

Если функция
нечетная, то ее ряд Фурье имеет вид

где

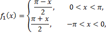
Рассмотрим пример. Разложить в ряд Фурье функцию 

Рис. 67
На рисунке 67 изображен график заданной функции. Условиям Дирихле функция
удовлетворяет. Эта функция – нечетная. Следовательно,
а

т.е.

Ряд Фурье содержит только синусы

Разлагать в ряд Фурье можно и периодические функции с периодом, отличным от 
Пусть функция
определенная на отрезке
имеет период 

где
произвольное положительное число, и, функция
удовлетворяет на этом отрезке условиям Дирихле.
Сделав подстановку

данную функцию
преобразуем в функцию

которая определена на отрезке
и имеет период 
Действительно, если
то
если
то
и при
имеем 
т.е.

Разложение функции
в ряд Фурье на отрезке
имеет вид

где


Ряд

называется рядом Фурье для функции
с периодом 
Все теоремы, имеющие место для рядов Фурье
периодических функций, остаются в силе и для рядов Фурье функций, период которых
В частности, если
на отрезке
четная, то ее ряд Фурье имеет вид

где

Eсли
на отрезке
четная, то ее ряд Фурье имеет вид

где

Рассмотрим пример. Разложить функцию
на интервале
в ряд Фурье.
Данная функция нечетная, удовлетворяет условиям Дирихле. Согласно формулам

где

при
имеем

где

Вычисляем 

Таким образом,

для 
Пусть
непериодическая функция, заданная на всей числовой оси 
Такая функция не может быть разложена в ряд Фурье, так как сумма ряда Фурье есть функция периодическая и, следовательно, не может быть равна
для всех 
Однако непериодическая функция
может быть представлена в виде ряда Фурье на любом конечном промежутке
на котором она удовлетворяет условиям Дирихле. Для этого можно поместить начало координат в середину отрезка
и построить функцию
периода
такую, что
при 

Рис. 68
Непериодическая функция
Разлагаем функцию
в ряд Фурье. Сумма этого ряда во всех точках отрезка
(кроме точек разрыва) совпадает с заданной функцией
Вне этого промежутка сумма ряда и
являются различными функциями.
Пусть теперь непериодическую функцию
требуется разложить в ряд Фурье на отрезке
Это частный случай: начало координат перенесено в точку
отрезка
область определения
будет иметь вид
где 
Такую функцию можно произвольным образом доопределить на отрезке
а затем осуществить ее периодическое продолжение с периодом
Разложив в ряд Фурье на отрезке
полученную таким образом периодическую функцию
искомый ряд для функции
при 
В частности, функцию
можно доопределить на отрезке
четным образом, т.е. чтобы при
было
В этом случае функция
разлагается в ряд Фурье, который содержит только косинусы.

Рис. 69
Непериодическая функция
Если же функцию
продолжить на отрезке
нечетным образом, то она разлагается в ряд Фурье, состоящий только из синусов.

Рис. 70
Ряд косинусов и ряд синусов для функции
заданной на отрезке
имеют одну и ту же сумму. Если
точка разрыва функции
то сумма как одного, так и другого ряда равна одному и тому же числу

Рассмотрим пример. Разложить в ряд косинусов функцию

Продолжим функцию
на отрезке
четным образом. Разлагаем в ряд функцию

с периодом
условиям теоремы Дирихле функция
удовлетворяет. Находим


Таким образом,
где
при

Контрольные вопросы
1. Дать определение периодической функции и перечислить ее основные свойства.
2. Какой ряд называется тригонометрическим?
3. Записать формулы для нахождения коэффициентов Фурье.
Дата добавления: 2015-08-11; просмотров: 2349;
