Разложение некоторых элементарных функций в ряды Тейлора, Маклорена
Для приложений важно уметь данную функцию
разлагать в степенной ряд, т.е. функцию
представлять в виде суммы степенного ряда.
Для любой функции
определенной в окрестности точки
и имеющей в ней производные до
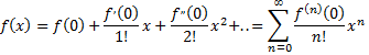
-го порядка включительно, справедлива формула Тейлора
где

остаточный член в форме Лагранжа. Число
можно записать в виде

где 
Если функция
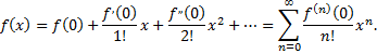
имеет производные любых порядков в окрестности точки
и остаточный член
стремится к нулю при
то из формулы Тейлора получается разложение функции
по степеням
называемое рядом Тейлора
Если в ряде Тейлора положить
то получим разложение функции по степеням
в ряд Маклорена
Для того, чтобы ряд Тейлора функции
сходился к
в точке
необходимо и достаточно, чтобы в этой точке остаточный член формулы Тейлора стремится к нулю при
т.е. чтобы

Если модули всех производных функций
ограничены в окрестности точки
одним и тем же числом
то для любого
из этой окрестности ряд Тейлора функции
сходится к функции
т.е. имеет место разложение

Разложение некоторых элементарных функций в ряд Тейлора (Маклорена).
Для разложения функции
в ряд Маклорена нужно:
1) найти производные 
2) вычислить значения производных в точке 
3) написать ряд

для заданной функции и найти его интервал сходимости;
4) найти интервал
в котором остаточный член ряда Маклорена
при
Если такой интервал существует, то в нем функция
и сумма ряда Маклорена совпадают.
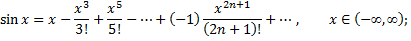
Разложение в ряд Маклорена некоторых элементарных функций:
Рассмотрим пример. Разложить в ряд функцию

Так как по

то, заменяя
на
получим



Область сходимости ряда 
Рассмотрим пример. Разлить в ряд функцию

В разложении

заменим
на
получим

Теперь


Область сходимости ряда 
Дата добавления: 2015-08-11; просмотров: 2966;
