Общая схема исследования функции и построение ее графика
Чтобы построить график функции
, необходимо ее исследовать, т.е. определить характерные особенности графика данной функции. Для этого следует:
1) найти область определения функции;
2) найти точки пересечения графика функции с осями координат;
3) исследовать функцию на четность и нечетность;
4) исследовать функцию на непрерывность: найти точки разрыва и установить характер разрыва;
5) найти асимптоты кривой 
6) найти интервалы возрастания и убывания функции, точки экстремума;
7) найти интервалы выпуклости и вогнутости кривой
и точки ее перегиба;
8) построить график функции 
Рассмотрим пример. Построить график функции

предварительно определив его характерные особенности.
1)Найдем область определения функции:
, 
т.е. 
2)Найдем точки пересечения графика функции с осями координат:
- пересечение с осью
:
т.е. точка
- пересечение с осью
:
т.е. точка 
3) Исследуем функцию на четность (нечетность)

- функция нечетная.
4)В точках
функция неопределенна, следовательно, терпит разрыв, определим какого рода




в точках
функция терпит разрыв второго рода, следовательно

- вертикальные асимптоты.
5) Найдем наклонную асимптоту кривой в виде
, где


следовательно,
– наклонная асимптота.
6) Найдем интервалы возрастания и убывания функции, точки экстремума

– это критические точки, которые делят область определения на участки возрастания и убывания. Определим знак производной функции на выявленных участках:

следовательно, на промежутке
функция возрастает;
следовательно, на промежутке
функция убывает;

следовательно, на промежутке
функция убывает;

следовательно, на промежутке
функция возрастает;
Таким образом,
– точка максимума,
– точка минимума.
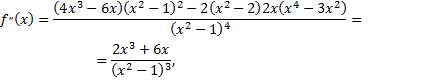
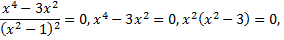
7)Найдем интервалы выпуклости и вогнутости кривой и точки ее перегиба.
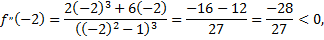
Для этого определим критические точки второго рода


Точка
– критическая точка второго рода, которая делит область определения функции на участки выпуклости и вогнутости

следовательно, на промежутке
данная кривая выпукла;
следовательно, на промежутке
данная кривая вогнута.
8)Построим график функции:

Рис. 33
График функции
Контрольные вопросы
1. Дать определение экстремума функции.
2. Какая функция называется возрастающей (убывающей)?
3. Как найти точки перегиба функции и участки выпуклости и вогнутости функции?
4. Что называют асимптотами графика функции?
5. Дать общую схему исследования функции.
Дата добавления: 2015-08-11; просмотров: 3425;
