Определение электростатического поля.
Электростатическое поле – это частный вид электромагнитного поля. Оно создается совокупностью электрических зарядов, неподвижных в пространстве по отношению к наблюдателю и неизменных во времени. Под зарядом тела понимают скалярную величину, равшем, как правило, будем иметь дело с полем, создаваемым в однородной и изотропной среде, то есть в такой, электрические свойства, которых одинаковы для всех точек поля и не зависят от направления. Электростатическое однородное поле обладает способностью изотропно воздействовать на помещенный в него электрический заряд с механической силой, прямо пропорциональной величине этого заряда. В основу определения электрического поля положено механическое его проявление. Оно описывается законом Кулона.
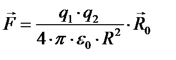
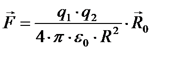
- Закон Кулона.
Два точечных заряда q1 и q2 в вакууме взаимодействуют друг с другом с силой F прямо пропорциональной произведению зарядов q1 и q2 и обратно пропорциональной квадрату расстояния между ними R. Эта сила направлена по линии, соединяющей точечные заряды. Одноименные заряды отталкиваются, а разноименные притягиваются.


Где
- единичный вектор, направленный по линии, соединяющей заряды.
- электрическая постоянная (
)
При использовании СИ, расстояние R измеряется в метрах, заряд – в кулонах (Кл), сила – в ньютонах.
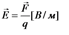
- Напряженность электростатического поля.
Любое поле характеризуется некоторыми основными величинами. Основными величинами, характеризующими электростатическое поле, являются напряженность
и потенциал
.
Напряженность электрического поля численно равна

отношению силы F, действующей на заряженную частицу, к заряду q и имеет направление силы, которая действует на частицу с положительным зарядом. Таким образом 
– это силовая характеристика поля, определенная при условии, что внесенный в данную точку заряд не исказил поля, существовавшего до внесения этого заряда. Отсюда следует, что сила
действующая на конечной величины точечный заряд q, внесенный в поле, будет равна
, а напряженность численно равна силе, действующей на заряд, по величине равный единице. Если поле создается несколькими зарядами (
), то его напряженность равна геометрической сумме напряженностей от каждого из зарядов в отдельности:
, то есть при электрического
поля применим метод наложения.
Электростатическое поле можно характеризовать совокупностью силовых и эквипотенциальных линий. Силовая линия – это мысленно проведенная в поле линия, начинающаяся на положительно заряженном теле. Проводится она таким образом, что касательная к ней в любой точке дает направление напряженности поля Ē в этой точке. Вдоль силовой линии передвигался бы весьма малый положительный заряд, если бы он имел возможность свободно перемещаться в поле и не обладал инерцией. Таким образом силовые линии имеют начало (на положительно заряженном теле) и конец (на отрицательно заряженном теле).
В электростатическом поле можно провести эквипотенциальные (равно потенциальные) поверхности. Под эквипотенциальной поверхностью понимают совокупность точек покоя, имеющих один и тот же потенциал
. Перемещение по этой поверхности не приводит к изменению потенциала. Эквипотенциальные и силовые линии в любой точке покоя пересекаются под прямым углом. Между напряженность электрического поля и потенциалом
существует взаимосвязь:
или
, где
при q=1
Потенциал произвольной точки поля 1 определяется как работа, совершенная силами поля по переходу единичного положительного заряда из данной точки поля в точку поля, потенциал которой равен нулю.

- Поток вектора через элемент поверхности и поток вектора через поверхность.
Пусть в векторном поле (например, в поле вектора напряженности электрического поля Ē) есть некоторый элемент поверхности электрического поля, площадь которого с одной стороны численно равна
.


Выберем положительное направление нормали (перпендикуляра) к элементу поверхности. Вектор
полагаем равным площади элемента поверхности, а его направление совпадает с положительным направлением нормали. В общем случае поток вектора Ē через элемент поверхности определится скалярным произведением
. Если поверхность. Через которую определяют поток вектора, , велика, то тогда нельзя считать, что во всех точках Ē одно и то же. В этом случае поверхность подразделяют на отдельные элементы малых размеров, и полный поток равняется алгебраической сумме потоков через все элементы поверхности. Сумма потоков записывается в виде интеграла
.
Значок S под значком интеграла означает, что суммирование производится по всем элементам поверхности. Если поверхность, через которую определяется поток вектора замкнутая, то на знаке интеграла ставят кружок:

- Поляризованность.
Под поляризацией понимают упорядоченное изменение расположение связанных зарядов в теле, вызванное электрическим полем. Это проявляется в том, что отрицательно связанные заряды в теле переместятся в сторону более высокого потенциала, а положительные наоборот.

а )

б )
Произведение
называется электрическим двух равных по величине и противоположных по знаку зарядов, находящихся друг от друга на расстоянии
(диполя). В поляризованном веществе молекулы в электрическом отношении представляют собой диполи. Под действием внешнего электрического поля диполи стремятся ориентироваться в пространстве таким образом, чтобы электрический момент их был направлен параллельно вектору напряженности электрического поля. Электрический момент суммы диполей, находящихся в объеме вещества V, отнесенный к объему V при стремлении V к нулю, называют поляризованностью (вектором поляризации).

Для большинства диэлектриков t wx:val="Cambria Math"/><w:i/></w:rPr></m:ctrlPr></m:accPr><m:e><m:r><w:rPr><w:rFonts w:ascii="Cambria Math" w:h-ansi="Cambria Math"/><wx:font wx:val="Cambria Math"/><w:i/></w:rPr><m:t>p</m:t></m:r></m:e></m:acc></m:oMath></m:oMathPara></w:p><w:sectPr wsp:rsidR="00000000"><w:pgSz w:w="12240" w:h="15840"/><w:pgMar w:top="1134" w:right="850" w:bottom="1134" w:left="1701" w:header="720" w:footer="720" w:gutter="0"/><w:cols w:space="720"/></w:sectPr></w:body></w:wordDocument>">
пропорционально направленности электрического поля
.....
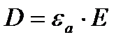
- Вектор электрической индукции
(или вектор электрического смещения ___).
Вектор
равен сумме двух векторов: вектора
, характеризующего поле в вакууме, и поляризованности
, характеризующей способность диэлектрика в рассматриваемой точке поляризоваться:

Так как
, то 
Где
; 
Относительная диэлектрическая проницаемость
имеет нулевую размерность; они показывают, во сколько раз абсолютная диэлектрическая проницаемость вещества (
) больше, чем электрическая постоянная
, характеризующая свойства вакуума. В системе CИ, [D] = [P] = Кл / 
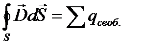
- Теорема Гаусса в интегрированной форме.
Теорема Гаусса является одной из величайших теорем электростатики.
Она соответствует закону Кулона и принципу наложения. Теорему можно сформулировать и записать тремя способами.
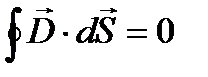
Поток вектора электрического смещения через любую замкнутую поверхность, окружающую некоторый объем, равен алгебраической сумме свободных зарядов, находящихся внутри этой поверхности:

Из этой формулы следует, что вектор
является такой характеристикой поля, которая при прочих равных условиях не зависит от диэлектрических свойств среды (от величины
).
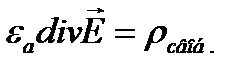
Так как
, то теорему Гаусса для однородной и изотропной среды можно записать и в такой форме:

то есть поток вектора напряженности электрического поля сквозь любую замкнутую поверхность равен сумме свободных зарядов, находящихся внутри этой поверхности, разделенного на произведение
. Из этой формулы следует, что вектор
представляет собой характеристику поля, которая в в отличие от вектора
при прочих равных условиях зависит от диэлектрических свойств среды (от величины
). Поток вектора
определяется лишь суммой зарядов и не зависит от их расположения внутри замкнутой поверхности.
Поток вектора
через любую замкнутую поверхность создается не только суммой свободных зарядов (
), но и суммой связанных зарядов (
), находящихся внутри поверхности. Из курса физики известно, что поток вектора поляризации сквозь любую замкнутую поверхность равен взятой с обратным знаком алгебраической сумме связанных зарядов, находящихся внутри этой поверхности:

Первый вариант записи теоремы Гаусса можно записать следующим образом:

Следовательно

или

- применение теоремы Гаусса для определения напряженности потенциала в поле точечного заряда.
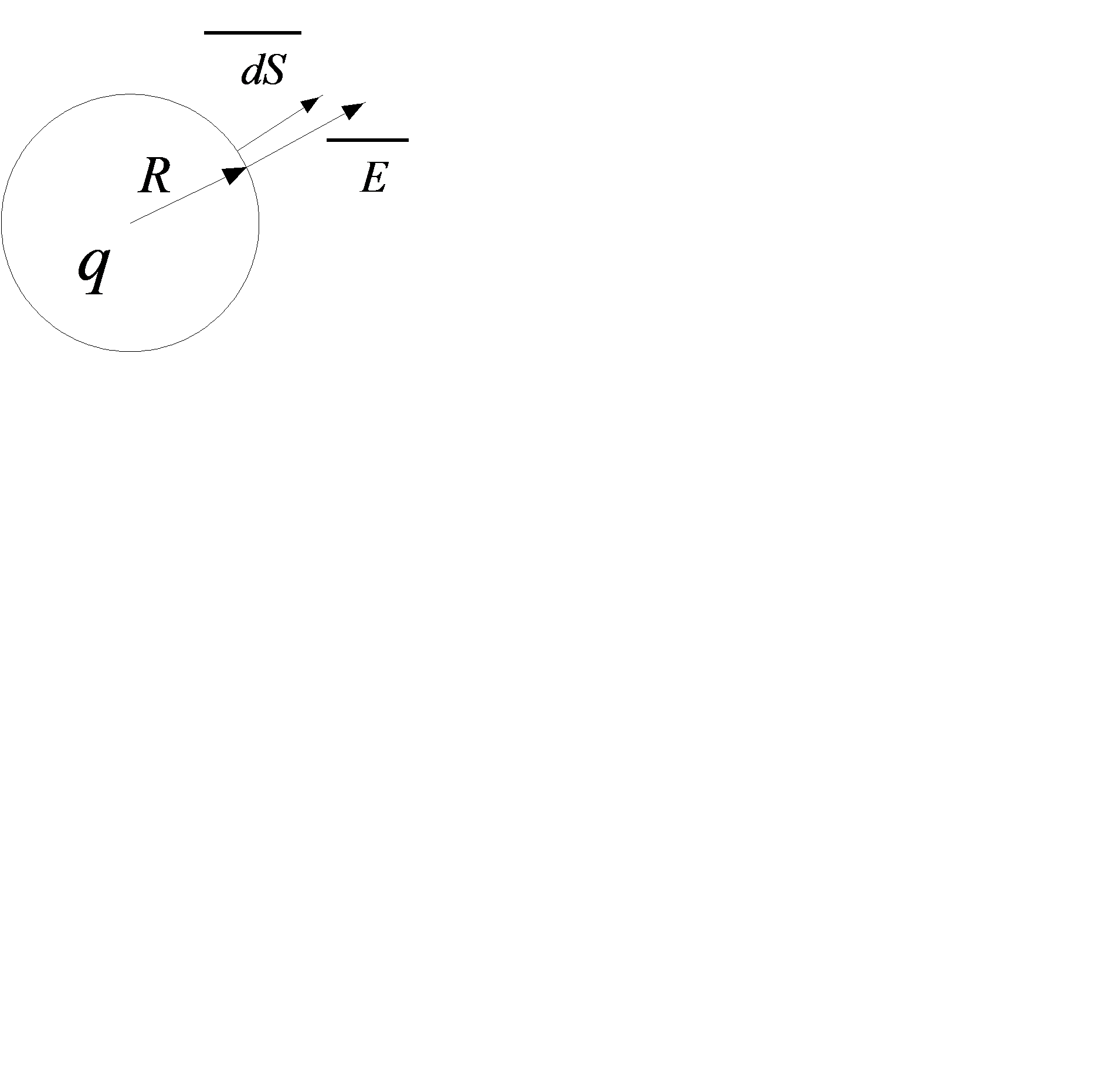
Теорему Гаусса в интегральной форме можно использовать для нахождения напряженности или электрического смещения
в какой либо точке поля, если через эту точку можно провести замкнутую поверхность таким образом, что все ее точки будут в одинаковых (симметричных) условиях по отношению к заряду, находящемуся внутри замкнутой поверхности. В качестве примера использования теоремы Гаусса найдём напряженность поля, создаваемую точечными зарядами в точке, удаленной на расстоянии R от заряда. С этой целью через заданную точку проведем сферическую поверхность радиусом R от заряда.
Элемент поверхности ___ перпендикулярен поверхности сферы и направлен в сторону внешней (по отношению к объему внутри поверхности) поверхности. В данном случае в каждой точке стороны ___ и ___ совпадают по направлению. Угол между ними равен нулю.
По теореме Гаусса:

Следовательно, напряженность создаваемая точечным зарядом q на расстоянии R от него будет определятся как

- Теорема Гаусса в дифференциальной форме.
Теорема Гаусса в интегральной форме выражает связь между потоком вектора
через поверхность ограничивающую некоторый объем, и алгебраической суммой зарядов, находящихся внутри этого объема. Однако с помощью теорему Гаусса в интегральной форме нельзя определить как связан поток линий
в данной точке поля с плотностью свободных зарядов в той же точке поля. Ответ на этот вопрос дает дифференциальная форма теоремы Гаусса. Разделим обе части в уравнении первого способа записи теоремы Гаусса интегральной форме на одну и туже скалярную величину – на объем V, находящийся внутри замкнутой поверхности S.

Устремим объем к нулю:
При стремлении объема к нулю
так же стремиться к нулю, но отношение двух бесконечно малых величин
и V есть величина постоянная (конечная). Предел отношения потока векторной величины сквозь замкнутую поверхность, ограничивающую некоторый объем, к объему V называют дивергенцией вектора
. Часто вместо термина «дивергенция» употребляют термин «расхождение» или «исток» вектора
. Так как
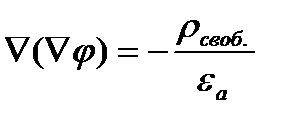
является объемной плотностью свободных зарядов
, то теорему Гаусса в дифференциальной форме записывают следующим образом (первая форма записи):

То есть исток линий
в данной точке поля определяется величиной плотности свободных зарядов в этой точке. Если объемная плотность зарядов в данной точке положительна (
), то из без конечно малого объема , окружающего данную точку поля, линии вектора
исходят (исток положителен). Если в данной точке поля
, то в бесконечно малый объем, внутри которого находится данная точка, линии вектора
входят. И наконец, если в какой либо точке поля
, то в данной точке поля нет ни истока, ни стока линий
, то есть в данной точке линий вектора
не начинаются и не заканчиваются.

Если среда однородна и изотропна то ее
. Вместо первой формы записи теоремы Гаусса дифференциальной форме запишем:

Выясним значение
за знак дифференциала
. Следовательно

Это выражение представляет собой вторую форму записи теоремы Гаусса
Третья форма записи уравнения Гаусса в интегральной форме описывается выражением

Это же уравнение в дифференциальной форме будет записано как

Следовательно, истоком вектора ______ в отличие от истока вектора _____ являются не только свободные, но и связанные заряды
- Следствие теоремы Гаусса.
Любую эквипотенциальную поверхность можно заменить тонким проводящим незаряженным слоем и при этом электрическое поле за пределами слоя ни как не изменится. Справедливо и обратное: тонкий не заряженный слой можно и при этом изменение поля не произойдет.
Лекция 2.
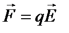
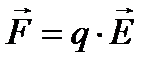
- Работа сил электрического поля.
Поместим в электрическое поле некоторый заряд q . На заряд будет действовать сила
.
Пусть заряд q из точки 1 переместился в точку 2 по пути 1 – 3 – 2. Так как направление силы
, воздействующей на заряд в каждой точке пути, может не совпадать с элементом пути
, то работа по перемещению заряда на пути
определяется скалярным произведением силы на элемент пути
. Работа, затраченная на перенос заряда из точки 1 в точку 2 по пути 1 – 3 – 2 определяется как сумма элементарных работ
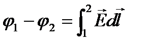
. Эту сумму можно записать виде линейного интеграла

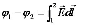
Заряд q может быть любым. Положим его равным единицы. Под разностью потенциалов (или напряжением) принято понимать работу, затрачиваемую силами поля при переносе единичного заряда из начальной точки 1 в конечную точку 2:

Это определение является интегральным признаком потенциального поля.
Если бы потенциал конечной точки пути 2 был равен 0, то потенциал точки 1 определялся бы так (при
):

то есть потенциал произвольной точки поля 1 можно определить как работу, совершаемую силами поля по переносу единичного заряда 9положительного) из данной точки поля в точку поля, потенциал которой равен нулю. Обычно в курсах физики точка с нулевым потенциалом находится в бесконечности. Поэтому определение потенциала дается как работа, совершаемая силами поля при переносе единичного заряда из данной точки поля в бесконечность: 
Часто считают, что точка с нулевым потенциалом находится на поверхности земли (земля в условиях электростатики есть проводящее тело), поэтому безразлично, где именно на поверхности земли или в ее толще находится эта точка. Таким образом потенциал любой точки поля зависит от того, какой точке поля придан нулевой потенциал, то есть потенциал определяется с точность до постоянной величины. Однако это не имеет существенного значения, так как практически важен не потенциал какой либо точки поля, а разность потенциалов и производная от потенциала по координатам.
- Электрическое поле – поле потенциальное.
Определим выражение для разности потенциалов в поле точечного заряда. С этой целью положим , что в точке m находится положительный точечный заряд
создающий поле; а из точки 1 в точку 2 через промежуточную точку 3 перемещае6тся единичный положительный заряд q=1.
Обозначим
расстояние от точки m до исходной точки 1;
- расстояние от точки m до конечной точки 2; R - расстояние от точки m до произвольной точки 3 на пути 1 – 3 – 2. Направление напряженности поля
и направление элемента пути
в промежуточной точке 3 в общем случае не совпадают. Скалярное произведение
, где dR - проекция элемента пути
на направлении радиуса, соединяющего точку m с точкой 3.
В соответствии с определением напряженности поля
. По закону Кулона:

Так как
и q=1, то модуль напряженности поля в поле точечного заряда

Подставив формулу определения разности потенциалов

вместо
значения получим 

С делаем важный вывод: разность потенциалов между исходной и конечными точками пути (точками 1 и 2 в нашем примере) зависит только от положения этих точек и не зависит от пути, по которому происходило перемещение из исходной точки в конечную.
Если поле создано совокупностью точечных зарядов, то этот вывод справедлив для поля созданного каждым из точечных зарядов в отдельности. А так как для электрического поля в однородном и ________________ диэлектрике справедлив принцип наложения то вывод о независимости величины разности потенциалов __________ от пути по которому происходило перемещение из точки 1 в точку 2 справедлив и для электрического поля ,созданного совокупностью точечных зарядов.
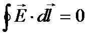
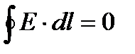
Если пройти по замкнутому пути 1 – 3 – 2 – 4 – 1, то исходная точка пути 1 и конечная точка пути 2 совпадут, и тогда левая и правая часть формулы разности потенциалов будет равна 0:

Кружок на значке интеграла означает, что интеграл берется по замкнутому контуру.
Из последнего выражения следует важный вывод: в электростатическом поле линейный интеграл от напряженности электрического поля, взятый вдоль любого замкнутого контура равен нулю. Физически это объясняется тем, что при движении вдоль замкнутого пути совершена определенная работа силами поля и такая же работа совершена внешними силами против сил поля. Равенство (2.1) трактуется следующим образом: циркуляция вектора
вдоль любого замкнутого пути равно нулю. Это соотношение выражает собой основное свойство электростатического поля. Поля, для которых выполняется подобного рода соотношение, называются потенциальными. Потенциальными являются не только электростатические , но и гравитационные поля (сила тяготения между материальными телами)
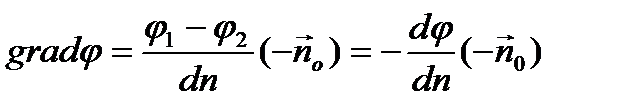
- Выражение напряженности в виде градиента потенциала.
Градиентом скалярной функции называется скорость изменения скалярной функции, взятую в направлении ее наибольшего возрастания. В определении градиента существенны два положения: 1) направление в котором берутся две ближайшие точки, должно быть таким, чтобы скорость изменения потенциала была максимальной; 2) направление должно быть таковым, чтобы скалярная функция в этом направлении не убывала.
В электростатическом поле возьмем две рядом расположенные точки на разных эквипотенциалах. Пусть
. Тогда в соответствии с приведенным определением, градиент изобразим вектором, перпендикулярным эквипотенциальным линиям и направленным от
и
(в стороны увеличения потенциала). Обозначили через dn расстояние по перпендикуляру (по нормали) между эквивалентными поверхностями, а через
вектор, совпадающий с направлениями
; через
- единичный вектор по направлению
, но на основании сопоставления для определения разности потенциалов можно записать выражение

где
приращение потенциала при переходе из точки 1 в точку 2 . Так как
, то приращение отрицательное.
Так как векторы
и
совпадают по направлению, то скалярное произведение
равно произведению модуля
на модуль
(
). Таким образом,
. Отсюда модуль направленности поля
. Вектор напряженности поля
.
Следовательно
(4.1)
Из определения градиента следует, что
(4.2)
(Вектор градиента направлен всегда в сторону противоположную вектору
).
Сопоставляя (4.1) и (4.2) делаем вывод, что
(4.3)
Это есть уравнение связи между напряженностью и потенциалом дифференциального типа.
Соотношение (4.3) истолковывается следующим образом: напряженность в какой-либо точке поля равна скорости изменения потенциала в этой точке, взятой с обратным знаком. Знак (-) означает, что направление
и направление
противоположны.
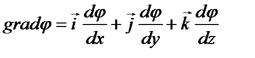
Следует отметить, что нормаль
в общем случае может быть расположена так, что не совпадает с направлением какой-либо координатной оси, и по этому градиент потенциала в общем случае можно представить в виде суммы трех проекций по координатным осям. Например в декартовой системе координат:

Где
- скорость изменения
в направлении оси Х;
- числовое значение (модуль) скорости (скорость – величина векторная);
- единичные орты соответственно по осям Х, У, Z декартовой системы.
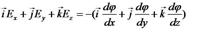
Вектор напряженности
. Таким образом,

Два вектора равны только тогда, когда равны друг другу их соответствующие проекции. Следовательно,
(4.4)
Соотношение (4.4) следует понимать так: проекция напряженности поля на оси Х равна проекции скорости изменения потенциала вдоль оси Х, взятой с обратным.
Лекция 3.
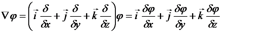
- Дифференциальный оператор Гамильтона (оператор набла).
Для сокращения записи различных операций над скалярными и векторными величинами употребляют дифференциальный оператор Гамильтона (оператор набла). Под дифференциальным оператором Гамильтона понимают сумму частных производных по трем координатным осям, умноженных на соответствующие единичные векторы (орты). В декартовой системе координат его записывают как:

Он сочетает в себе векторные и дифференцирующие свойства и может быть применен к скалярным и векторным функциям. Ту , действие над которой хотя произвести (дифференцирование по ее координатам, или, пространственное дифференцирование) пишут справа от оператора набла.
Применим, оператор к потенциалу
. С этой целью запишем
(3.1)
Если сравнить (2.1) с
, - то
, а приписывание слева к какой-либо скалярной функции ( в данном случае к
) оператора
означает взятие градиента от этой скалярной функции.
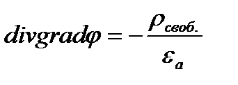
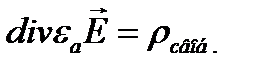
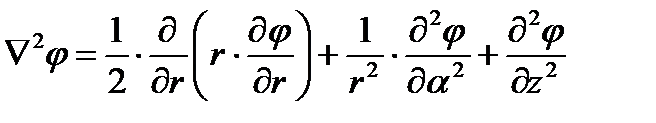
- Уравнения Пуассона и Ланласса.
Эти уравнения являются основными дифференциальными уравнениями электростатики. Они вытекают из теоремы Гаусса в дифференцированной форме. Действительно известно, что
. В то же время согласно теории Гаусса
(3. 2)
С другой стороны, подставляя в (3.2) выражение дифференциального признака напряженности поля , получим

Выпишем знак (-) за знак дивертенции

Вместо
запишем его эквивалент
; вместо div напишем
(набла).
Тогда
или
(3.3)
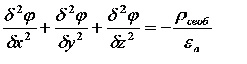
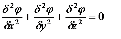
Уравнение (3.3) называют уравнением Пуассона. Частный вид уравнения Пуассона, когда
, называют уравнением Лапласса:

Оператор
называют оператором Лапласа, или лапласианом, и иногда обозначают символом
(дельта). Поэтому можно встретить и такую форму записи уравнения Пуассона: 
Раскроем
в декартовой системе координат. С этой целью произведение двух множителей
и
запишем в развернутом виде:

скалярное произведение,
Произведем почленное умножение и получим

Таким образом, уравнение Пуассона в декартовой системе координат записывается следующим образом:

Уравнение Лапласа в декартовой систем координат:

Уравнение Пуассона выражает связь между частными производными второго порядка от ___ в любой точке поля и объемной плотностью свободных зарядов в этой точке поля. В то же время потенциал в какой-либо точке поля зависит от всех зарядов, создающих поле, а не только от величины свободного заряда.
- Теория единственности решения.
Электрическое поле описывается уравнениями Лапласа или Пуассона. Оба они являются уравнениями в частных производных. Уравнение в частных производных в отличие от обыкновенных дифференциальных уравнений имеют в общем случае множество линейно независимых друг от друга решений. В любой же конкретной практической задаче есть единственная картина поля, то есть единственное решение. Из множества линейно независимых решений, допускаемых уравнением Лапласа – Пуассона, выбор единственного, удовлетворяющего конкретной задаче, производят с помощью граничных условий. Если есть некоторая функция, удовлетворяющая уравнению Лапласа – Пуассона и граничным условиям в данном поле, то эта функция и представляет собой то единственное решение конкретной задачи, которое ищут. Это положение называют теоремой единственного решения.
- Граничные условия.
Под граничными условиями понимают условия, которым подчиняется поле на границе раздела сред с различными электрическими свойствами.
При интегрировании уравнения Лапласа (или Пуассона) в решение входят постоянные интегрирования. Их определяют, исходя из граничных условий. Прежде чем перейти к подробному обсуждению граничных условий, рассмотрим вопрос о поле внутри проводящего тока в условиях электростатики. В проводящем теле, находящихся в электростатическом поле, вследствие явления электростатической индукции происходит разделение зарядов. Отрицательные заряды смещаются на поверхность тела, обращенную в сторону более высокого потенциала, положительные – в противоположную сторону.

Все точки тела будут иметь одинаковый потенциал. Если бы между какими-либо точками возникла разность потенциалов, то под ее действием появилось бы упорядоченное движение зарядов, что противоречит понятию электростатического поля. Поверхность тела эквипотенциальна. Вектор напряженности внешнего поля в любой точке поверхности подходит к ней под прямым углом. Внутри проводящего тела напряженность поля равна нулю, так как внешнее поле компенсируется полем зарядов, расположившихся на поверхности тела.
- Условия на границе раздела проводящего тела и диэлектрика.
На границе проводящее тело – диэлектрик при отсутствии тока по проводящему телу выполняются два условия:
1) отсутствует тангенциальная (касательная к поверхности) составляющая напряженности электрического поля:

2) вектор электрического смещения
в любой точке диэлектрика, непосредственно примыкающей к поверхности проводящего тела, численно равен плотности заряда
на поверхности проводящего тела в этой точке:

Рассмотрим первое условие. Все точки поверхности проводящего тела имеют один и тот же потенциал. Следовательно между двумя любыми весьма близко расположенными друг к другу точками поверхности приращение потенциала
, по
, следовательно
то есть приращение потенциала по поверхности равно нулю. Так как элемент пути dl между точками на поверхности не равен нулю, то равно нулю
.
Доказательство второго условия. Для этого мысленно выделим бесконечно малый параллепипед.

Верхняя его грань параллельна поверхности проводящего тела и расположена в диэлектрике. Нижняя грань находится в проводящем теле. Высота параллепипеда пренебрежительно мала. Применим к нему теорему Гаусса. В силу малости линейных размеров можно принять, что плотность заряда
во всех точках на поверхности dS проводящего тела, попавшего внутрь параллепипеда, одна и та же. Полный заряд внутри рассматриваемого объема равен
. Поток вектора
через верхнюю грань объема:
Поток вектора
через боковые грани объема ввиду малости последнего и того, что вектор ___ скользит по ним, нет. Через «дно» объема поток так же отсутствует, так как внутри проводящего тела Е=0 и D=0 (
проводящего тела есть величина конечная). 
Таким образом, поток вектора
из объема параллепипеда равен
или
, что и требовалось доказать.
- Условия на границе раздела двух диэлектриков.
На границе раздела двух диэлектриков с различными диэлектрическими проницаемостями выполняются два условия:
1) равны тангенциальные составляющие напряженности поля

2) равны нормальные составляющие электрической индукции

Индекс 1 относится к первому диэлектрику, индекс 2 относится ко второму диэлектрику.
Первое условие вытекает из того, что в потенциальном поле
по любому замкнутому контуру; второе условие представляет собой следствие теоремы Гаусса.
Докажем справедливость первого условия. С этой целью выделим плоский замкнутый контур mnpq и составим вдоль него циркуляцию вектора напряженности электрического поля.
Верхняя сторона контура расположена в диэлектрике с диэлектрической проницаемостью
, нижняя – в диэлектрике
. Длину стороны mn, равную длине стороны pq, обозначим
. Контур возьмем так, что размеры np и qm будут
. Поэтому составляющими интеграла
вдоль вертикальных сторон в силу их малости пренебрежем. Составляющая
на пути mn равна
, на пути pq равна
. Знак (-) появился потому, что элемент длины на пути pq и касательная составляющая вектора
, направлены в противоположные стороны (циркуляция по часовой стрелке по условию) (
). Таким образом
или
, что и требовалось доказать.
Условие потенциальности
.
Для доказательства второго условия на границе раздела двух сред выделим очень малых размеров параллепипед.
Внутри выделенного объема есть связанные заряды и нет свободных , поэтому
(из теоремы Гаусса в интегральной форме). Поток вектора
:
через верхнюю грань площадью
:
;
через нижнюю грань:
; 
Следовательно
или 
, что и требовалось доказать.
При переходе через границу, отделяющую один диэлектрик от другого, например при переходе от точки n к p, нормальная составляющая напряженности является конечной величиной, и длина пути
. Поэтому
. Поэтому при переходе через границу раздела двух диэлектриков потенциал не претерпевает скачков.
- Метод зеркальных изображений.
Для расчета электростатических полей, ограниченных какой-либо проводящей поверхностью правильной формы или в которых есть геометрически правильные формы граница между двумя диэлектриками, широко применяют метод зеркальных изображений. Это искусственный прием расчета, в котором кроме заданных зарядов вводят еще дополнительные, величины и местоположение которых выбирают так, чтобы удовлетворять граничным условиям в поле. Территориально заряды помещают там, где находятся зеркальные (в геометрическом смысле) отображения заданных зарядов. Рассмотрим пример метода зеркальных изображений.
Полезаряженной оси, расположенной вблизи проводящей плоскости.
Заряженная ось (
заряд на единицу длины) расположена в диэлектрике параллельно поверхности проводящей среды (металлическая стенка или земля).

Требуется определить характер поля в верхней полуплоскости (диэлектрике).
В результате электрической индукции на поверхности проводящего тела выступают заряды. Плотность их меняется, с изменением координаты Х. Поле в диэлектрике создается не только заряженной осью, но и зарядами, выступившими на поверхности проводящего тела вследствие электростатической индукции. Несмотря на то, что распределение плотности зарядов на поверхности проводящей среды неизвестно, данную задачу сравнительно легко решить по методу зеркальных изображений.
Поместим в точке m фиктивный заряд обратного знака (-
) по отношению к заданному заряду
. Расстояние h от точки m до плоскости раздела сред так же, как и расстояние от действительного заряда до плоскости раздела. В этом смысле осуществлено зеркальное изображение. Убедимся, что напряженность поля от двух зарядов
и -
в любой точке границе раздела имеет только имеет только нормальную к границе составляющую и не имеет тангенциальной составляющей, так как тангенциальные составляющие от обоих зарядов имеют противоположные направления и в сумме дают нуль в любой точке поверхности. Потенциал каждой из осей определяется формулой
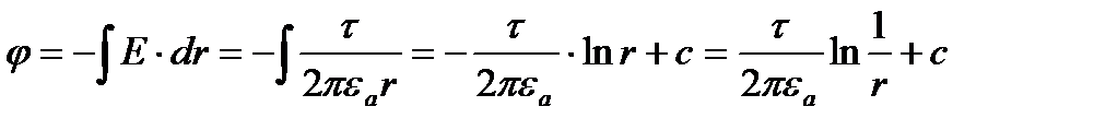
(3.5)
Где с – постоянная интегрирования
r – расстояние от оси
Потенциал от каждой из осей удовлетворяет уравнению Лапласса в цилиндрической системе координат
(3.6)
Для проверки подставим правую часть выражения в (3.6) и после преобразований получим:
, т.е 
Так как потенциал от каждой из осей удовлетворяет уравнению Лапласа и в то же время удовлетворено граничное условие (
), то на основании теоремы единственности полученное решение является истинным.
Картина поля приведена на рисунке.

Силовые линии перпендикулярны поверхности провода и поверхности проводящей плоскости. Знаки (-) на поверхности проводящей плоскости означают отрицательные заряды, появившиеся на поверхности в результате электрической индукции.
- Основные положения о корректной картине поля.
Условные виды поля можно разделить на три вида. Плоскопараллельное, плоскомеридианное и равномерное. Плоскопараллельное поле имеет совокупность силовых эквипотенциальных линий, повторяющихся во всех плоскостях, перпендикулярных какой-либо оси декартовой системы координат.Пример – поле двух проводной линии.Потенциал поля не зависит от координаты z, направленной вдоль оси одного из проводов.
Плоскомеридиальное поле имеет картину, повторяющуюся во всех меридиальных плоскостях, то есть картина поля не зависит от координаты ___ цилиндрической или сферической системы координат.
Равномерное поле имеет напряженность одинаковую во всех точках поля, то есть ее величина не зависит от координат точки. Равномерное поле образуется между обкладками конденсатора.
- Графическое изображение картины плоскопараллельного поля.
Аналитический расчет полей часто встречает затруднения, например когда поверхность имеет сложную форму. В этом случае картину поля строят графически. С этой целью сначала выясняют, не обладает ли изучаемое поле симметрией. Если она имеется, то картину поля строят только для одной из областей симметрии.
Рассмотрим картину поля, образованную двумя взаимно перпендикулярными относительно проводящими тонкими пластинами. Поскольку данное поле обладает симметрией, то картину строим для верхней полуплоскости. В нижней полуплоскости картина повторяется. При построении руководствуются следующими правилами:
1) силовые линии должны подходить к поверхности электродов перпендикулярно;
2) силовые и эквипотенциальные линии должны быть взаимно перпендикулярны и образовывать подобные ячейки поля (криволинейные прямоугольники), для которых отношение средней длины ячейки
к средней ширине этой ячейки должно быть приблизительно одинаковым, т.е.

Если число ячеек в силовой трубке обозначить n, а число трубок m ( в нашем примере n=4, а m=2 x 6) то при соблюдении перечисленных правил, разность потенциалов между соседними эквипотенциалями будет одинакова и равна
, где U - напряжение между электродами .Пока
вектора
в каждой силовой трубке будет такой же, как и в соседней.

Поток вектора
в каждой сило вой трубке будет такой же как и в соседней.
Лекция 4.
Дата добавления: 2015-12-16; просмотров: 4828;
