Случай несвязных выборок
В общем случае формула для расчета по t-критерию Стьюдента такова:

где

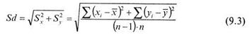
Рассмотрим сначала равночисленные выборки. В этом случае п1= п2 =п, тогда выражение (9.2) будет вычисляться следующим образом:

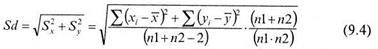
В случае не равночисленных выборок п1 ≠ п2, выражение (9.2) будет вычисляться следующим образом:

В обоих случаях подсчет числа степеней свободы осуществляется по формуле:

где п1и п2 соответственно величины первой и второй выборки.
Понятно, что при численном равенстве выборок k= 2 · п - 2.
Рассмотрим пример использования t-критерия Стьюдента для несвязных и неравных по численности выборок.
Задача 9.1.Психолог измерял время сложной сенсомоторной реакции выбора (в мс) в контрольной и экспериментальной группах. В экспериментальную группу (X) входили 9 спортсменов высокой квалификации. Контрольной группой (Y) являлись 8 человек, активно не занимающиеся спортом. Психолог проверяет гипотезу о том, что средняя скорость сложной сенсомоторной реакции выбора у спортсменов выше, чем эта же величина у людей, не занимающихся спортом.
Решение. Результаты эксперимента представим в виде таблицы 9.1, в которой произведем ряд необходимых расчетов:

Средние арифметические составляют в экспериментальной
группе
, в контрольной группе
.
Разница по абсолютной величине между средними
.
Подсчет выражения 9.4 дает:

Тогда значение tэмп, вычисляемое по формуле (9.1), таково:

Число степеней свободы k = 9 + 8-2= 15. По таблице 16 Приложения 1 для данного числа степеней свободы находим:


Таким образом, обнаруженные психологом различия между экспериментальной и контрольной группами значимы более чем на 0,1% уровне, или, иначе говоря, средняя скорость сложной сенсомоторной реакции выбора в группе спортсменов существенно выше, чем в группе людей, активно не занимающихся спортом.
В терминах статистических гипотез это утверждение звучит так: гипотеза Н0 о сходстве отклоняется и на 0,1% уровне значимости принимается альтернативная гипотеза Н1 - о различии между экспериментальной и контрольными группами.
Дата добавления: 2015-08-21; просмотров: 1453;
