Існування та обчислення криволінійного інтегралу ІІ роду
Нехай крива
визначена параметрично:
, (25)
функції
- неперервні, при зміні параметру від
до
крива визначається в напрямку від
до
;
і
вздовж
неперервні.
Теорема. При зроблених припущеннях криволінійний інтеграл ІІ роду
існує і
. (30)
Порядок розташування границь інтегрування відповідає обраному на кривій напрямку.
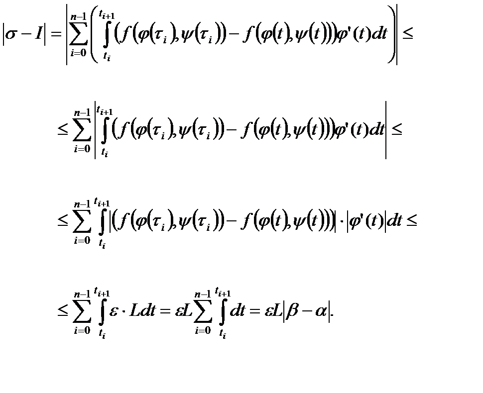
Доказ. Нехай точки
, визначаються значеннями параметру
, а обрані на дугах
точки
,
, значеннями параметру, які позначимо через
. Тоді інтегральна сума
, якщо врахувати, що
,
може бути записана у вигляді:
. (40)
З іншого боку, інтеграл в (30) справа можна представити наступним чином:
. (50)
Тоді, враховуючи (40),(50), отримаємо:
(60)
Візмемо
. Оскільки
неперервна на
, то вона рівномірно неперервна на
, тому
можна розбити на частки
так, щоб на кожному частковому сегменті
коливання функції
були меньше за
. Функція
неперервна на
, тому
обмежена на
, тобто
така, що
для
. Тоді
(70)
Позначимо
,
,
тоді з (70) витікає, що
,
що і треба було довести.
Аналогічно, якщо крива
визначена за допомогою (25), функції
- неперервні, при зміні параметру від
до
крива визначається в напрямку від
до
;
і
вздовж
неперервні, то
.
Порядок розташування границь інтегрування відповідає обраному на кривій напрямку.
Якщо крива
визначена за допомогою (25), функції
- неперервні, при зміні параметру від
до
крива визначається в напрямку від
до
;
,
вздовж
неперервні, то криволінійний інтеграл ІІ роду загального виду обчислюється за формулою:
.
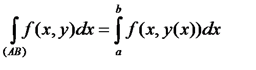
Нехай криволінійний інтеграл ІІ роду береться по кривій, яка визначається за допомогою рівняння
, (80)
тоді формула (30) приймає вид:
. (90)
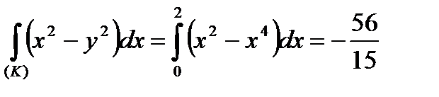
Приклад. Обчислити криволінійний інтеграл ІІ роду
, де
визначається наступним чином:
, що проходиться від точки з абсцисою
до точки з абсцисою
.
Відповідно до формули (90) маємо:
.
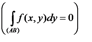
Зауваження 1. Криволінійний інтеграл ІІ роду
, якщо крива
- це відрізок, паралельний осі ОУ (відрізок, паралельний осі ОХ).
Зауваження 2. Нехай точка
належить кривій
, тоді:
.
Дата добавления: 2015-08-21; просмотров: 1023;
