Визначення та властивості криволінійного інтегралу ІІ роду
Нехай
.
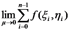
Якщо при
сума (20) має скінченну границю
,
яка не залежить ні від способу розбивки
на частки
, ні від вибору проміжкових точок
, то ця границя називається криволінійним інтегралом ІІ роду від
по кривій
і позначається:
.
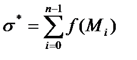
Аналогічно, якщо помножити
не на
, а на
і побудувати суму
=
,
то

дасть нам криволінійний інтеграл ІІ роду від
:
.
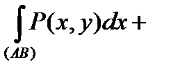
Якщо вздовж кривої
визначені дві функції
і існують:
,
,
то їх суму називають криволінійним інтегралом ІІ роду загального виду і позначають:
.
Зауваження. Значенні криволінійного інтеграла ІІ роду залежить від напрямку, який обрано на кривій:
,
,
до того ж з існування інтеграла зправа витікає існування інтеграла зліва і навпаки.
Аналогічно визначається криволінійний інтеграл ІІ роду по кривій, яка знаходиться не на площині, а в тривимірному просторі.
Дата добавления: 2015-08-21; просмотров: 1111;
