Випадок замкненої кривої. Орієнтація площини
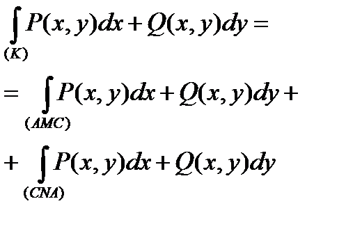
Нехай крива
замкнена (рис.2). Оберемо на цій кривій напрямок її оббігу. Точки
. Тоді

Визначення. Додатним напрямком обходу замкненої кривої вважається той напрямок, при якому найближча до спостерігача частина області, яка обмежена кривою, знаходиться зліва від спостерігача (рис.2).
Питання
- Чим інтегральна сума для криволінійного інтегралу ІІ роду відрізняється від інтегральної суми для криволінійного інтеграла І роду?
- Побудова інтегральної суми для криволінійного інтеграла ІІ рода.
- Визначення криволінійного інтеграла ІІ рода.
- Загальний вид криволінійного інтеграла ІІ рода.
- Формули обчислення криволінійного інтеграла ІІ рода для різних способів завдання кривої.
Дата добавления: 2015-08-21; просмотров: 825;
