Визначення невласного інтегралу І роду
Лекція 37. Невласні інтеграли І роду
План
- Визначення невласного інтегралу І роду
- Критерій Коші збіжності невласного інтегралу І роду
- Загальна достатня умова збіжності невласного інтегралу І роду
Визначення невласного інтегралу І роду
Визначення 1. Нехай функція
визначена на
. Припустимо, що
існує
. Невласним інтегралом (НІ) I роду називається
, (1)
Якщо границя (1) існує, то кажуть, що НІ збігається, інакше – розбігається.
Зауваження. Якщо
, то
,
і інтеграли
збігається і розбігаються одночасно. Дійсно
.
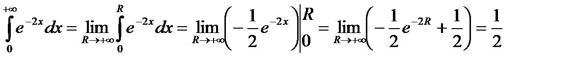
Приклад. Обчислити чи довести розбіжність інтеграла
.
,
Таким чином, поданий інтеграл збігається і дорівнює ½.
12
Дата добавления: 2015-08-21; просмотров: 772;
