Критерій Коші збіжності невласного інтегралу І роду
При вивченні властивостей функції однієї змінної було встановлено, що для того, щоб
мала границю в точці
необхідно і достатньо, щоб вона задовольняла умові Коші в цій точці, тобто щоб
для
таких, що
,
, виконується нерівність:
.
Збіжність НІ І роду еквівалентна існуванню границі (1) функції одної змінної
. Таким чином:
якщо для
виконується нерівність
,
то границя (1) існує. Таким чином, ми довели наступну теорему.
Теорема 1 (Критерій Коші збіжності невласного інтегралу І роду). Для того, щоб збігався невластивий інтеграл I роду необхідно і достатньо щоб
:
.
3.Загальна достатня умова збіжності невласного інтегралу І роду
Теорема 2. Нехай функції
визначені на
і виконуються наступні умови:
1)
,
;
2)
- збігається,
то збігається і
.
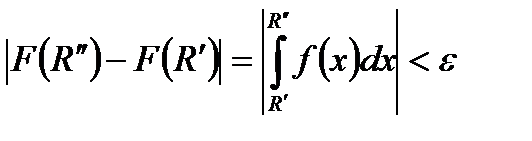
Доказ. Іх збіжності інтегралу
за критерієм Коші (теорема 1) витікає, що

.
Враховуючи умову 1) теореми, маємо, що функція
для
, а це означає, що і
, тобто модуль в останній нерівності можна зняти.
За властивостями інтеграла Римана маємо:
.
Таким чином, для
маємо виконання критерію Коші збіжності.
Приклад. Розглянемо невласний інтеграл
, де
. Зясуємо, при яких значеннях параметру
цей інтеграл є збіжним. Нехай спочатку
. В цьому випадку:
.
Отримана границя існує, а поданий інтеграл збігається, якщо
, тобто
. Якщо
, то інтеграл розбігається.
Залишилося розглянути випадок, коли
:
.
Таким чином,

Питання
1. Визначення невласного інтегралу І роду.
2. Умова Коші в точці для функції однієї змінної.
3. Критерій існування границі функції однієї змінної.
4. Коли невласний інтеграл І роду називається збіжним (розбіжним)? Навести приклади збіжних (розбіжних) невласних інтегралів.
5. Критерій Коші збіжності НІ І роду.
6. Як повязана збіжність (розбіжність) інтегралів
?
7. Загальна достатня умова збіжності невласного інтегралу І роду.
Дата добавления: 2015-08-21; просмотров: 1970;
